자연스러운 말에 숨은 착시의 놀라운 밀도

본 연구는 인간 청각‑시각 통합 현상인 McGurk 효과와 Yanny‑Laurel 착시를 이용해 일상 언어에서 얼마나 많은 어휘·문장이 착시를 일으킬 수 있는지를 실험적으로 측정한다. 음성·영상 짝을 교체해 만든 착시 영상이 청취자의 인식에 미치는 영향을 단어·문장 수준에서 조사하고, 착시 가능성을 예측하는 통계·머신러닝 모델을 제시한다. 결과는 일상 어휘의 70 % 이상, 문장의 10 % 이상이 착시를 유발할 수 있음을 보여주며, 보안·인지과…

저자: Melody Y. Guan, Gregory Valiant

자연스러운 말에 숨은 착시의 놀라운 밀도
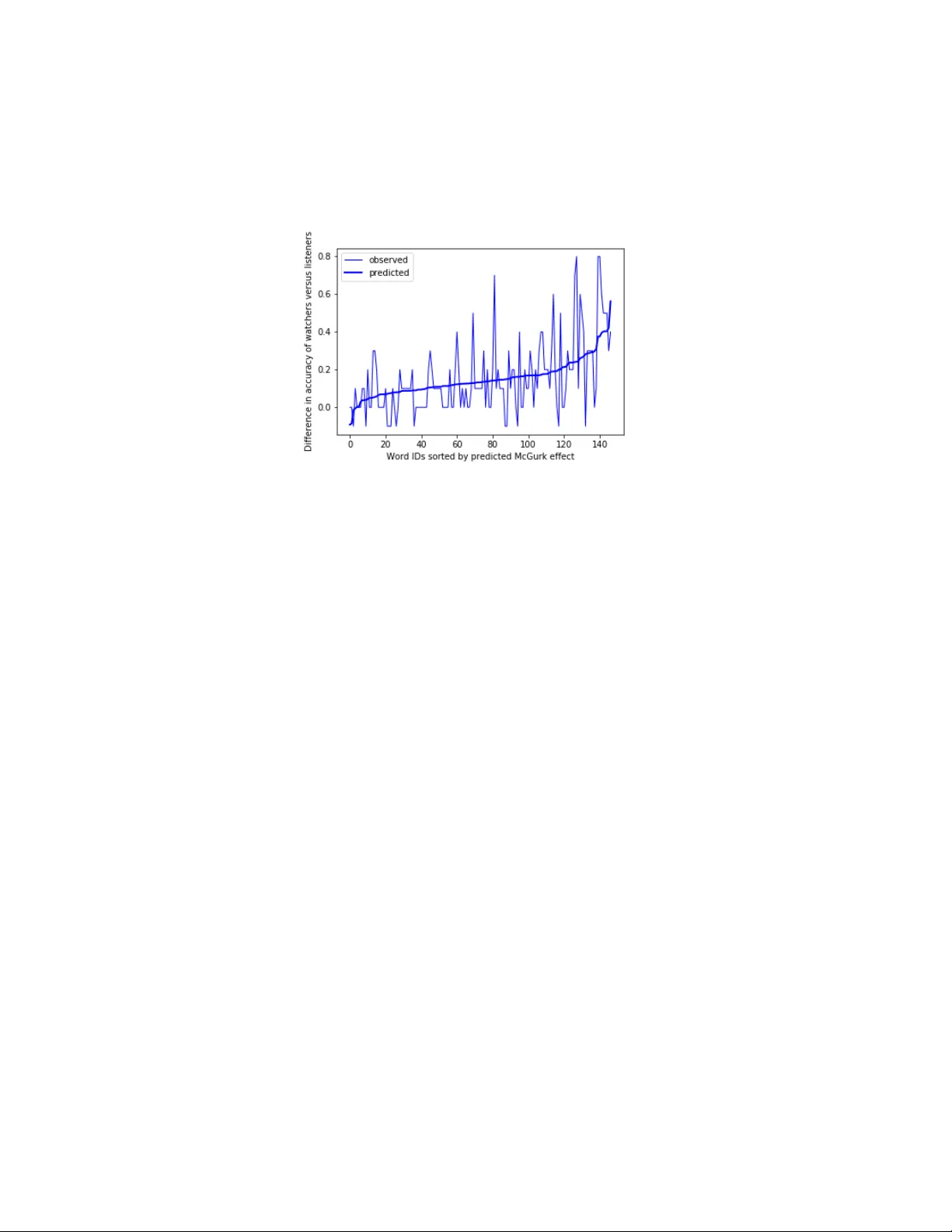
본 논문은 “A Surprising Density of Illusionable Natural Speech”라는 제목 아래, 인간 청각‑시각 통합 현상인 McGurk 효과와 Yanny‑Laurel 청각 착시를 활용해 일상 언어에서 얼마나 많은 어휘와 문장이 착시를 일으킬 수 있는지를 체계적으로 조사한다. 연구 동기는 머신러닝 분야에서 ‘adversarial example’이 거의 모든 자연 입력에 존재한다는 사실을 인간 인지에도 적용해볼 수 있는가를 탐구하는 데 있다. 1. **문제 정의 및 연구 목표** - ‘Illusionable’이란, 특정 음성·영상 조합을 통해 인간 청취자가 원래 의미와 다른 의미를 인식하게 만드는 현상을 의미한다. - 목표는 (1) 음소, (2) 단어, (3) 문장 수준에서 착시를 만들 수 있는 비율(밀도)을 정량화하고, (4) 이 밀도를 예측할 수 있는 모델을 구축하는 것이다. 2. **관련 연구** - 기존 연구는 주로 머신러닝 시스템의 취약성을 다루었으며, 인간 인지는 ‘gold standard’으로 간주돼 왔다. - 그러나 인간도 시각‑청각 착시(예: McGurk, Yanny‑Laurel)에 의해 오인될 수 있다는 점을 강조하고, 이러한 착시가 일상 언어에서 얼마나 흔한지에 대한 체계적 연구는 부족했다. 3. **음소 수준 실험** - 미국 영어의 20개 모음과 24개 자음 중, 특히 자음 쌍에서 시각적 입술 움직임과 청각 신호가 불일치할 때 착시가 발생한다는 것을 확인했다. - 실험에 참여한 10명의 라벨러가 제공한 데이터에 따르면, /b/‑/p/, /t/‑/k/ 등 특정 자음 쌍이 높은 착시율을 보였다. - 이 결과는 인간의 음성 인지가 ‘bimodal’(청각+시각)이라는 기존 이론을 실증적으로 뒷받침한다. 4. **단어 수준 실험** - Project Gutenberg 코퍼스에서 가장 빈도가 높은 10 000개 어휘 중 200개를 무작위 추출했으며, 이 중 147개(73.5 %)가 사전 실험에서 식별된 착시 가능한 음소를 포함한다. - 20명의 피험자에게 각 단어에 대해 ‘음성만 듣기’와 ‘착시 영상 보기’ 두 조건을 제시했으며, 착시 영상 조건에서 평균 오인율은 24.8 %로, 순수 청음 대비 148 % 상승했다. - 특히 17 %의 단어에서는 오인율이 30 %를 초과했으며, 이는 일상 어휘 중 상당수가 시각‑청각 불일치에 취약함을 의미한다. 5. **단어 착시 예측 모델** - 10개의 착시 가능한 음소를 각각 초기·중간·종결 위치에 따라 30개의 이진 특성으로 변환하고, ridge regression을 적용했다. - 10 000번의 교차 검증 결과, 훈련 데이터와 테스트 데이터 간 상관계수는 각각 91.1 %와 44.6 %였으며, 최종 모델의 외부 검증 상관계수는 57 %에 달한다. - 모델은 ‘음소‑위치’ 특성만으로도 어느 정도 착시 가능성을 예측할 수 있음을 보여준다. 6. **문장 수준 실험** - ‘Little Women’ 소설에서 300개의 4~8단어 문장을 무작위 추출하고, 그 중 32개를 착시 가능성이 높다고 판단해 영상으로 제작했다. - Amazon Mechanical Turk를 통해 1 306명의 응답자를 모집했으며, 각 피험자는 6개의 영상을(3개 착시, 3개 원본) 시청했다. - 착시 영상에 대한 평균 오인율은 32.8 %로, 원본 영상 대비 145 % 상승했다. 또한, 정답을 맞춘 경우에도 불확실성 점수가 42.9 %로, 원본 영상의 19.4 % 대비 123 % 증가했다. - 11.5 %의 문장(23/200)에서는 오인율이 10 % 이상 상승했으며, 이는 문장 전체에서도 착시가 실질적인 영향을 미칠 수 있음을 시사한다. 7. **문장 착시 예측 모델** - 단어 수준 예측 모델에서 얻은 ‘최대 단어 착시 가능성’ 특성을 이용해 문장 수준 예측을 수행했으며, 외부 검증 상관계수는 33 %에 머물렀다. 이는 문맥과 구문 구조가 착시 발생에 복합적인 영향을 미친다는 점을 암시한다. 8. **보안 및 인지과학적 함의** - 공공 방송, 긴급 안내, 차량 내 디스플레이 등 시각‑청각 정보를 동시에 전달하는 환경에서 악의적인 행위자가 화면에 특정 입술 움직임을 삽입함으로써 메시지를 왜곡할 위험이 존재한다. - 인간 인지는 ‘robust’하다고 여겨졌지만, 다중감각 통합 과정에서 구조적인 약점이 존재함을 실험적으로 입증했다. 이는 인간‑기계 인터페이스 설계 시 착시 방지 메커니즘(예: 시각‑청각 동기화 검증, 다중 모달 보강) 도입의 필요성을 강조한다. 9. **결론** - 일상 언어에서 착시 가능한 어휘와 문장의 비율이 생각보다 높으며, 이를 예측하는 간단한 통계·머신러닝 모델이 유효함을 보였다. - 이러한 ‘illusion density’는 보안 위협과 인지 과학 연구 모두에 새로운 연구 방향을 제시한다. 향후 연구에서는 다양한 언어, 문화권, 연령대에 대한 일반화, 그리고 실시간 착시 방지 시스템 개발이 필요하다.

원본 논문

고화질 논문을 불러오는 중입니다...

댓글 및 학술 토론

Loading comments...

의견 남기기