세포 집단 성장 모델: 개체 기반과 연속체 모델을 잇는 다리

세포 집단 성장 모델: 개체 기반과 연속체 모델을 잇는 다리
안내: 본 포스트의 한글 요약 및 분석 리포트는 AI 기술을 통해 자동 생성되었습니다. 정보의 정확성을 위해 하단의 [원본 논문 뷰어] 또는 ArXiv 원문을 반드시 참조하시기 바랍니다.

초록

본 논문은 압력 구동 이동과 압력 의존 증식을 포함한 간단한 확률적 개체 기반 모델을 제시하고, 이를 통해 널리 사용되는 비선형 편미분 방정식 형태의 연속체 모델을 형식적으로 유도한다. 단일 및 다중 세포 집단에 대해 수치 실험을 수행하여 두 모델이 정량·정성적으로 일치함을 확인하였다.

상세 분석

이 연구는 세포 집단의 공간적 성장 메커니즘을 미시적 수준에서 설명하려는 시도이다. 저자들은 격자 위에 존재하는 개별 세포를 ‘에이전트’로 간주하고, 시간과 공간을 이산화한 뒤 두 가지 핵심 규칙을 부여한다. 첫 번째는 압력에 따라 세포가 분열, 사멸 또는 정지하는 확률을 정의한 것으로, 압력이 일정 임계값을 초과하면 사멸 확률만 남게 하여 압력 제한 성장 모델을 구현한다. 두 번째는 압력 차이에 기반한 편향된 랜덤 워크를 통해 세포가 압력 구배를 따라 이동하도록 설계한다. 이동 확률은 압력 차이의 양의 부분에 비례하도록 설정되어, 세포가 낮은 압력 영역으로 흐르는 현상을 재현한다.

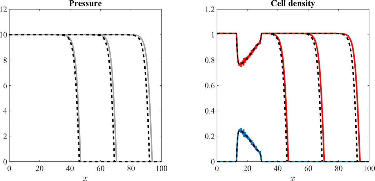
이산 모델에서 질량 보존식을 전개하고, 격자 간격과 시간 간격을 무한히 작게 하는 연속극한을 취하면, 세포 밀도 ρ와 압력 p 사이의 관계 p=Π(ρ)를 이용해 비선형 확산 항과 성장 항을 포함하는 연속체 방정식 ∂ₜρ−μ∇·(ρ∇p)=G(p)ρ 를 얻는다. 여기서 이동 계수 μ는 개별 이동 파라미터 ν와 격자 스케일에 의해 결정되고, 성장 함수 G(p)는 압력 의존성을 반영한다. 다중 집단의 경우 각 집단별 이동 계수와 성장 함수를 도입해 ∂ₜρ_h−μ_h∇·(ρ_h∇p)=G_h(p)ρ_h 형태의 연쇄 방정식 체계를 도출한다.

수치 실험에서는 1차원 격자에서 단일 집단과 두 집단(증식성·비증식성) 시나리오를 시뮬레이션하였다. 개체 기반 시뮬레이션은 개별 세포의 무작위 이동과 분열·사멸 과정을 직접 추적하고, 연속체 해는 유한 차분법으로 풀었다. 결과는 전파 파동 형태의 해가 두 모델 모두에서 동일하게 나타났으며, 전파 속도와 전단면 형태가 거의 일치함을 보여준다. 특히 다중 집단 경우, 이동성 차이에 의해 두 집단이 공간적으로 분리되는 현상이 연속체 모델의 계량적 예측과 일치하였다.

이 논문의 주요 기여는 (1) 압력 기반 이동·성장을 명시적으로 포함한 간단하면서도 생물학적으로 의미 있는 개체 기반 모델을 제시한 점, (2) 해당 모델이 기존 연속체 모델의 수학적 구조와 정확히 대응함을 증명한 점, (3) 두 모델 간 정량적 일치를 다양한 시뮬레이션을 통해 검증한 점이다. 이러한 결과는 연속체 모델이 실제 세포 수준의 미시적 규칙을 어떻게 집합적으로 반영하는지를 명확히 보여주며, 모델 선택에 있어 계산 효율성과 생물학적 해석 사이의 균형을 잡는 데 실질적인 지침을 제공한다.


댓글 및 학술 토론

Loading comments...

의견 남기기