코드형 아퍼처를 활용한 X선 결정학의 정확한 구조 복원

본 논문은 X선 결정학에 코드형 아퍼처를 삽입해 코딩된 회절 패턴(CDP)을 획득하고, 이를 통해 전통적인 4 n − 1 측정 요구를 넘어선 정확한 구조 복원을 이론적으로 보장한다. 또한, 결정 구조가 푸리에 영역에서 희소함을 이용해 전역 위상 하나만 남는 유일성 조건을 만족시키며, 제안된 SPRSF 기반 알고리즘은 기존 방법 대비 50 % 적은 측정(즉, m/n ≥ 2)으로도 높은 복원 정확도와 잡음 내성을 입증한다.

저자: Samuel Pinilla, Jorge Bacca, Cesar Vargas

코드형 아퍼처를 활용한 X선 결정학의 정확한 구조 복원
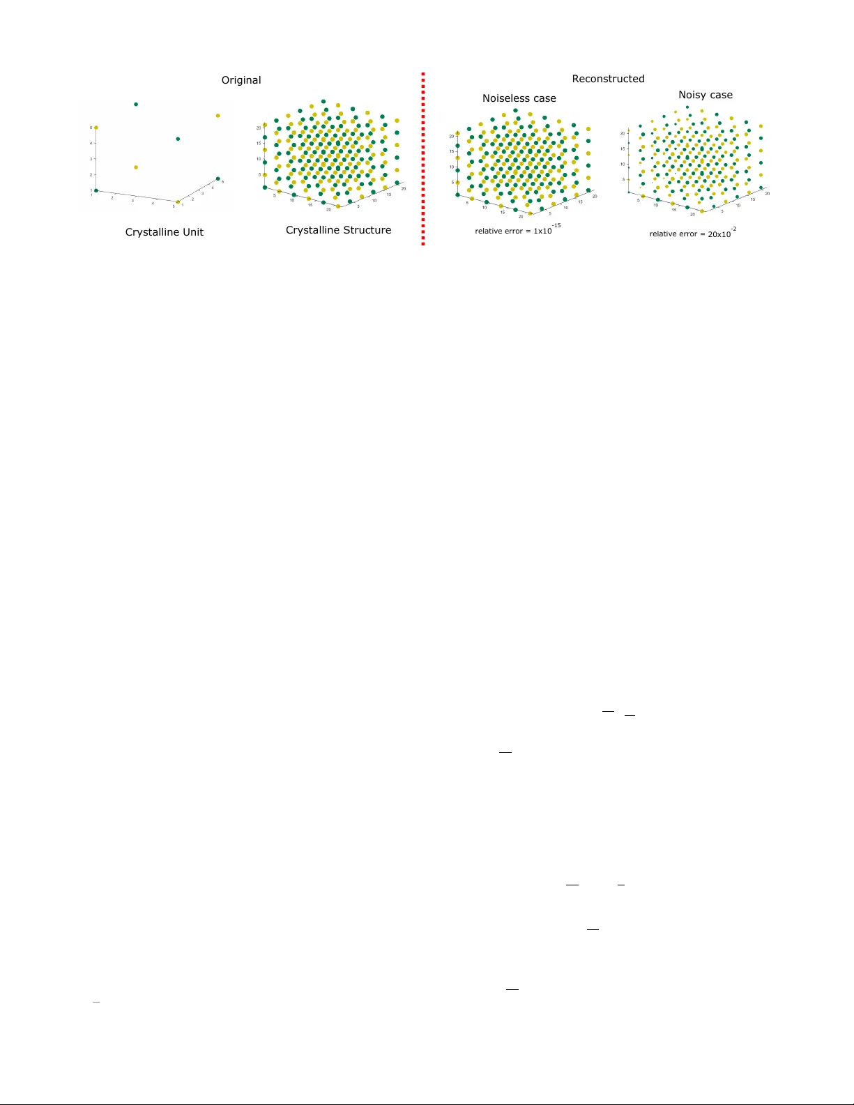
본 논문은 X선 결정학(X‑ray Crystallography, XC)의 핵심 과제인 결정 구조 복원을 기존의 회절 강도 측정만으로는 위상 정보를 잃어버리는 문제에서 출발한다. 전통적인 시스템은 X선 소스가 결정에 조사된 뒤, 회절 패턴을 2차원 센서에 기록하고, 이를 위해 결정과 센서를 회전시켜 “Ewald 구” 전체를 스캔한다. 이 과정에서 얻어지는 데이터는 결정 구조 x∈ℂⁿ의 푸리에 크기 |Fₖx|² 로, 위상은 측정되지 않는다. 위상 복원(Phase Retrieval, PR) 문제는 무한히 많은 해를 갖고, 특히 전역 위상, 공액 반전, 공간 이동이라는 세 가지 ‘trivial ambiguity’가 존재한다. 또한 정확한 복원을 위해서는 최소 4 n − 1개의 측정이 필요하므로, 결정에 과도한 X선 방사선을 조사하게 되어 구조 손상이 우려된다. 이에 저자들은 시스템에 코드형 아퍼처(coded aperture)를 삽입해 회절 장면을 변조하고, 변조된 장면을 근거리(near‑field)에서 측정함으로써 코딩된 회절 패턴(CDP)을 획득한다. 코드형 아퍼처는 대각 행렬 ˆD 로 모델링되며, 각 원소는 |d| ≤ 1 인 무작위 복소값을 갖는다. 아퍼처와 센서 사이 거리 zₚ를 조절해 여러 거리(p = 1,…,P)에서 측정할 수 있으며, 회전 대신 센서와 아퍼처를 “Ewald 구”를 따라 스캔한다. 이렇게 하면 결정 자체는 고정된 채로 다양한 시점의 데이터를 얻을 수 있다. 수학적으로는 ˜x = Fx (결정의 푸리에 변환)라 두고, 특정 영역 r에 대해 ˜xᵣ = Sᵣ˜x (Sᵣ은 선택 대각 행렬) 로 표현한다. 거리 zₚ에 따라 변환된 샘플링 벡터 aₚ,ᵢ = ˆDFT(zₚ)f_{uᵢ} 를 정의하고, 측정값은 gᵢₚ,ᵣ = |⟨aₚ,ᵢ,˜xᵣ⟩|² 로 주어진다. 이를 다시 bᵣₚ,ᵢ = FH Sᵣ aₚ,ᵢ 로 치환하면 gᵢₚ,ᵣ = |⟨bᵣₚ,ᵢ, x⟩|² 로 나타낼 수 있다. 따라서 전체 측정은 g = B(xxᴴ) 형태의 선형 연산 B에 의해 표현된다. 정리 1은 무작위 코드형 아퍼처가 B를 충분히 ‘좋은’ 연산자로 만든다(조건 9)를 보이며, 이때 B는 자기‑에르미트 행렬 공간에서 일대일(injective)이다. 결과적으로 전역 위상 하나만 남는 유일한 복원이 가능하고, 기존에 필요했던 4 n − 1개의 측정 대신, 결정 구조가 푸리에 영역에서 s개의 비제로 계수만을 갖는 희소성(s ≪ n)을 이용하면 m ≥ C·s (C ≤ 2) 정도면 충분함을 증명한다. 이는 측정 수가 전체 차원의 절반 이하로 감소한다는 의미이며, 결정에 가해지는 방사선량도 크게 줄어든다. 알고리즘 설계는 Sparse Phase Retrieval via Smoothing Function(SPRSF) 를 기반으로 한다. 목표 함수는 f(x)= (1/mn)∑_{i,r,p} ( gᵢₚ,ᵣ – φ_µ(|⟨bᵣₚ,ᵢ, x⟩|) )², 여기서 φ_µ(w)=√(w²+µ²) 로 스무딩을 적용한다. 최적화는 두 단계로 진행된다. 첫 단계는 측정값과 샘플링 벡터를 이용해 행렬 H = (1/mn)∑ gᵢₚ,ᵣ bᵣₚ,ᵢ bᵣₚ,ᵢᴴ 를 구성하고, 그 주요 고유벡터를 초기 추정치 ẑ⁽⁰⁾ 로 사용한다. 두 번째 단계는 Wirtinger 그래디언트 ∂f/∂z 를 계산하고, 스텝 크기 τ와 스무딩 파라미터 µ를 조절하며 반복적으로 업데이트한다. 각 반복마다 하드 임계값 연산 Hₛ(·) 로 s개의 가장 큰 계수만 남겨 스파스성을 강제한다. 파라미터 µ는 그래디언트 크기가 일정 임계값 이하가 되면 감소시키는 방식으로 자동 조정된다. 시뮬레이션은 세 가지 실험으로 구성된다. 첫째, 1000개의 무작위 결정 구조에 대해 성공률을 평가했으며, m/n ≥ 2이면 거의 모든 희소도(s/n∈

원본 논문

고화질 논문을 불러오는 중입니다...

댓글 및 학술 토론

Loading comments...

의견 남기기