저전력 영역에서 두 셀 업링크를 위한 서브채널 할당 및 전력 제어 최적화
본 논문은 두 셀 OFDMA 업링크 시스템에서 저신호대잡음비(SNR) 환경을 가정하고, 서브채널 할당을 할당 문제로 변환해 헝가리안 알고리즘으로 최적 매칭을 구한다. 이후 각 사용자 쌍에 대한 전력 최적화를 분수형 2차식 문제로 모델링하고, Dinkelbach 알고리즘을 이용해 수치적으로 해결한다. 시뮬레이션 결과, 기존 문헌 대비 저SNR 구간에서 합률이 크게 향상됨을 보인다.
저자: Ata Khalili, Soroush Akhlaghi
본 논문은 두 셀 OFDMA 업링크 네트워크에서 서브채널 할당과 전력 제어를 동시에 최적화하여 전체 합률을 극대화하는 문제를 다룬다. 시스템 모델은 각 셀에 I개의 사용자가 존재하고, N개의 서브채널이 전체 셀에 공유되는 구조이며, 각 사용자는 전력 제한 p_max을 가진다. 수신 신호는 Rayleigh 평탄 페이딩을 가정하고, 인터셀 간 간섭은 동일 서브채널을 사용하는 두 셀의 사용자 쌍에만 발생한다.
목표 함수는 모든 사용자‑셀‑채널 조합에 대한 Shannon 용량 로그식의 합이며, 제약조건은 (1) 각 사용자의 전력 합이 p_max 이하, (2) 전력은 비음수, (3) 각 서브채널은 정확히 하나의 사용자에게 할당, (4) 할당 변수는 0/1 이진값이다. 이 문제는 연속 변수(p)와 이산 변수(x)가 동시에 등장하는 비선형 혼합정수 최적화(MINLP)로, 일반적인 해법이 존재하지 않는다.
저 SNR(또는 저 SINR) 영역을 가정함으로써 로그 함수의 1+x≈x 근사를 적용한다. 이 근사는 잡음 전력이 간섭 전력보다 우세하다는 전제 하에 성립한다. 그 결과, 원래의 복잡한 비선형 목표식은 각 사용자‑채널 조합에 대한 선형 비용 c_{nij}=p_max·h_{nij}/σ² 로 변환된다. 이제 서브채널 할당 문제는 비용 행렬 C를 구성하고, 이를 최소 비용 완전 매칭 문제로 보는 할당 문제로 바뀐다. 헝가리안 알고리즘은 O(N³) 시간 복잡도로 전역 최적 매칭을 제공한다.
서브채널이 고정된 후, 각 서브채널에 할당된 사용자 쌍에 대해 전력 최적화를 수행한다. 두 사용자의 전력 변수 p₁, p₂에 대해 합률 로그식을 전개하고, 로그 곱셈 성질을 이용해 목표를 (p₁·a·σ² + p₂·b) + (p₂·c·σ² + p₁·d) + (p₁·a·σ² + p₂·b)(p₂·c·σ² + p₁·d) 형태로 변형한다. 이를 다시 2차 다항식 f(p)와 g(p)의 비율 형태인 f(p)/g(p) 로 재구성한다. 여기서 f(p)와 g(p)는 각각 양의 반정적(positive semidefinite) 2차 형식과 상수항을 포함한다.
분수형 최적화 문제는 Dinkelbach 알고리즘을 이용해 해결한다. 알고리즘은 λ를 초기화하고, 매 반복마다 f(p)−λg(p)를 최대화하는 p*를 구한다. 최적 p*가 찾히면 λ를 f(p*)/g(p*) 로 업데이트하고, 수렴 조건 f(p*)−λg(p*)≤δ 가 만족될 때까지 반복한다. 각 내부 최적화는 2차 형식의 목적함수를 갖는 제약식(전력 ≤ p_max)으로, 활성 집합 방법이나 이차 계획법을 통해 다항 시간에 해결 가능하다.
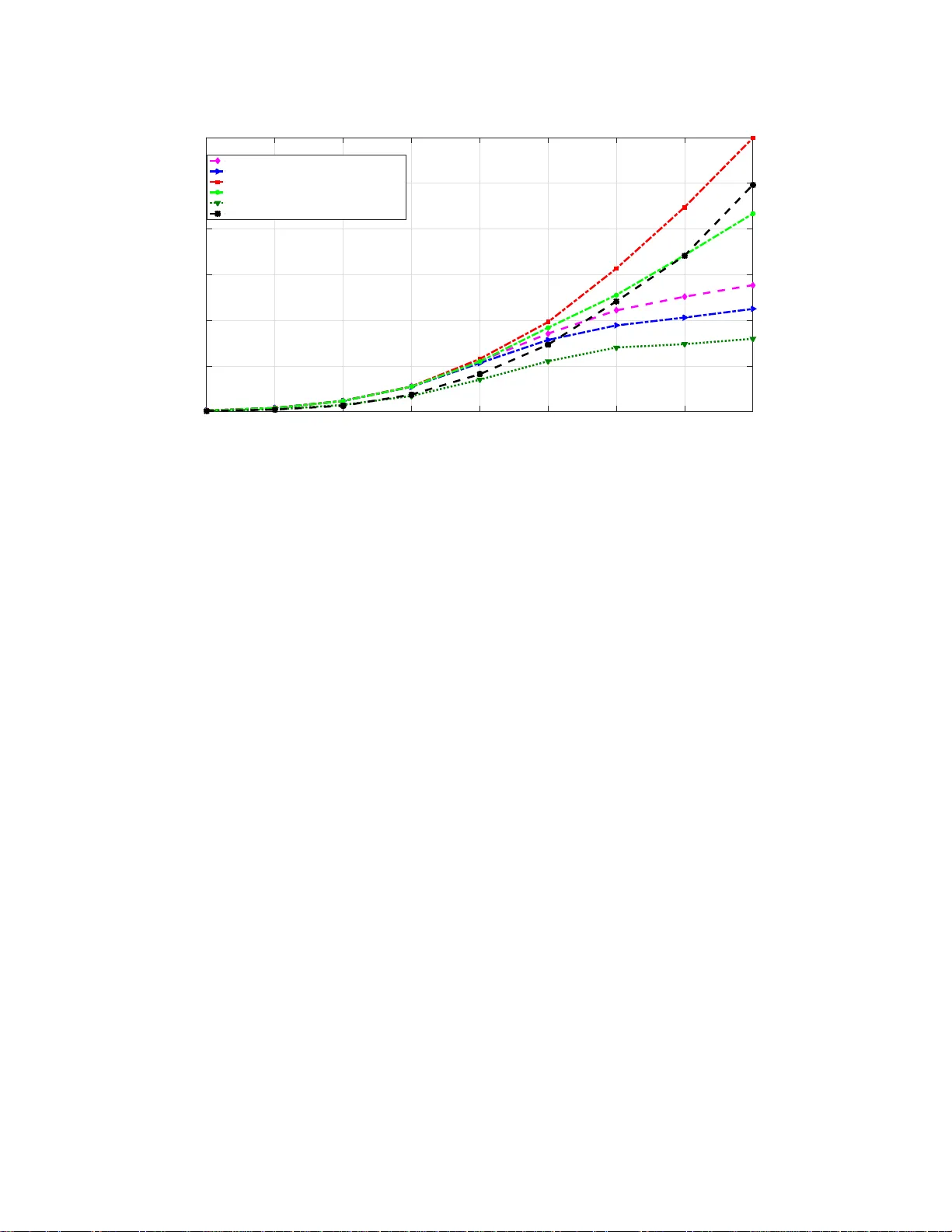
시뮬레이션은 Monte Carlo 방식으로 채널을 다수 생성하고, 사용자·채널 수를 3, 거리 설정(셀 내부 100 m, 셀 간 500 m), 잡음 전력 1로 정규화하였다. 제안 방법(A)은 헝가리안 기반 서브채널 매칭과 Dinkelbach 기반 전력 최적화를 결합한 것이며, 기존 문헌
원본 논문
고화질 논문을 불러오는 중입니다...
댓글 및 학술 토론
Loading comments...
의견 남기기