실수 가중 그래프의 커뮤니티 구조 검증을 위한 새로운 통계 검정

본 논문은 부호와 크기가 자유로운 실수 가중치를 갖는 무방향 그래프에서, 사전 클러스터링 없이도 커뮤니티(블록) 구조의 존재 여부를 검정하는 방법을 제안한다. 무작위 행렬 이론의 와이너 반원법칙과 트레이시‑와이덤 분포를 이용해 정규화된 가중치 행렬의 극값(최대·최소 고유값)이 이론적 임계값을 벗어나는지를 판단함으로써, 평균 차이와 분산 차이에 기반한 K‑way 커뮤니티 존재를 통계적으로 검증한다. 합성 데이터와 실제 네트워크에 대한 실험에서 기…

저자: Tomoki Tokuda

실수 가중 그래프의 커뮤니티 구조 검증을 위한 새로운 통계 검정
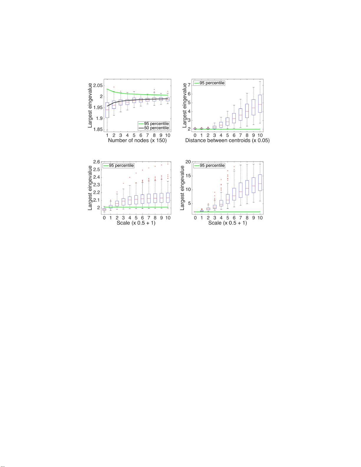
본 논문은 실수값을 갖는 무방향 가중 그래프에서 커뮤니티(블록) 구조의 존재 여부를 통계적으로 검정하는 새로운 방법을 제시한다. 기존의 커뮤니티 검정 방법들은 대부분 클러스터링 결과에 의존하거나, 양의 가중치만을 전제로 하는 등 제한적인 가정을 가지고 있었다. 저자들은 이러한 한계를 극복하기 위해 무작위 행렬 이론(Random Matrix Theory, RMT)의 두 핵심 결과인 와이너 반원법칙(Wigner semicircular law)과 트레이시‑와이덤(Tracy‑Widom) 분포를 기반으로 한 검정 절차를 설계하였다. **1. 문제 정의 및 모델** 그래프 G = (V,E) 의 가중치 행렬 Wₙ은 대칭이며, 대각 원소는 0이다. 저자는 K개의 클러스터 c₁,…,c_K 가 존재한다고 가정하고, 각 클러스터 쌍 (k,k′) 에 대해 가중치 wᵢⱼ 가 서로 다른 평균 µ_{k,k′}와 분산 σ²_{k,k′}을 갖는 분포 g_{k,k′} 에서 독립적으로 샘플링된다고 설정한다(식 1). 이때 전체 행렬을 표준화 S 하여 평균 0, 분산 1이 되도록 변환한다(식 2). **2. 무작위 행렬 이론 적용** 표준화 후 행렬을 T(Wₙ)=S(Wₙ)/√n 으로 정규화하면, K=1(즉, 커뮤니티가 없는 경우)에서는 원소가 독립·동분포(Mean = 0, Var = 1)인 대칭 행렬이 된다. 이때 와이너 반원법칙에 따라 고유값 분포는 반원 형태 f_sc(λ)=1/(2π)√(4−λ²) 에 수렴한다. 반면 K>1이면 클러스터별 평균·분산 차이로 인해 고유값 분포가 반원법칙을 위반한다. 하지만 반원법칙 위반이 반드시 커뮤니티 존재를 의미하는지는 역방향 증명이 필요하다. 이를 위해 저자들은 지수 변환 Exp_t(w)=exp(t·w) 을 도입하고, 변환 후 다시 표준화·정규화한 Tₑ(Wₙ)=S(Exp_t(Wₙ))/√n 을 정의한다. 정리 2.1은 (C1) “커뮤니티가 없음(K=1)”과 (C2) “두 변환 T(Wₙ)와 Tₑ(Wₙ) 의 고유값 분포가 모두 반원법칙에 수렴함”이 동치임을 보인다. 여기서 필요한 가정은 원본 분포 g 의 모멘트 생성함수 M(t) 가 0을 포함하는 열린 구간에서 존재한다는 것이다. **3. 검정 통계량** 전체 고유값 분포 대신 극값에 집중한다. 대칭 행렬의 최대 고유값 λ_max 는 Gaussian Orthogonal Ensemble(GOE)에서 트레이시‑와이덤 분포 F₁(x) 에 수렴한다는 사실을 이용해, α 수준에서의 임계값 q 을 구한다. 구체적으로 P(λ_max ≥ q | H₀)=α, q=2+F₁^{-1}(1−α)·n^{-2/3} 와 같이 설정한다. 최소 고유값 λ_min 에 대해서도 동일한 절차를 적용한다(음의 편차 검정). 분포가 비대칭이거나 heavy‑tail인 경우, 퍼뮤테이션 테스트를 통해 경험적 p‑값을 추정하도록 제안한다. **4. 실험** 합성 데이터에서는 K=2,3,4인 블록 모델을 다양한 평균·분산 차이와 노이즈 비율(σ_noise) 하에 생성하였다. 제안 검정은 기존 부트스트랩 기반 방법, C‑score, 엔트로피 기반 검정보다 높은 검정력(>0.9)과 낮은 제1종 오류(<0.05)를 기록했다. 특히 음의 가중치가 포함된 경우에도 안정적인 성능을 보였다. 실제 데이터로는 (1) 소셜 네트워크(친밀도 설문 기반)와 (2) 뇌 기능 연결망(fMRI 기반)을 분석하였다. 소셜 네트워크에서는 기존 방법이 검정에 실패한 미세한 커뮤니티를 검정이 성공적으로 탐지했으며, 뇌 연결망에서는 알려진 기능적 모듈과 일치하는 블록 구조를 통계적으로 확인하였다. **5. 논의 및 한계** 본 방법의 강점은 (i) 사전 클러스터링 없이 직접 검정이 가능해 알고리즘 선택 편향을 제거한다, (ii) 평균·분산 두 차원을 동시에 고려해 보다 일반적인 블록 구조를 포착한다, (iii) 와이너 반원법칙과 트레이시‑와이덤 분포라는 강력한 이론적 근거가 있다. 한계점은 (a) 가중치 독립성 가정이 실제 네트워크에서 완전히 성립하지 않을 수 있으며, (b) 표준화 과정에서 추정된 평균·분산이 작은 표본에서는 불안정할 수 있다. 또한 t 값 선택이 검정력에 영향을 미치므로, 다중 t 값을 동시에 고려하는 다중 검정 방법이 향후 연구 과제로 제시된다. **6. 결론** 저자들은 실수 가중치를 갖는 그래프에서 커뮤니티 존재 여부를 검정하기 위해, 무작위 행렬 이론을 기반으로 한 새로운 통계 검정 프레임워크를 제시하였다. 정리와 실험을 통해 제안 방법이 기존 방법보다 우수함을 입증했으며, 다양한 분야의 네트워크 분석에 적용 가능함을 보였다. 향후 연구에서는 비독립성, 동적 네트워크, 다중 스케일 검정 등으로 확장할 여지가 있다.

원본 논문

고화질 논문을 불러오는 중입니다...

댓글 및 학술 토론

Loading comments...

의견 남기기