색상 스패닝 로컬 쿼리와 최적 도형 탐색

색상 스패닝 로컬 쿼리와 최적 도형 탐색
안내: 본 포스트의 한글 요약 및 분석 리포트는 AI 기술을 통해 자동 생성되었습니다. 정보의 정확성을 위해 하단의 [원본 논문 뷰어] 또는 ArXiv 원문을 반드시 참조하시기 바랍니다.

초록

색이 지정된 n개의 점 집합에 대해, 쿼리 점 q를 포함하는 최소 크기의 색상 스패닝 구간, 정사각형, 직사각형, 정삼각형, 원을 빠르게 찾는 전처리 알고리즘과 데이터 구조를 제시한다.

상세 분석

본 논문은 색상 스패닝(color‑spanning) 문제를 로컬라이즈드 쿼리(localized query) 형태로 확장한다. 기존 연구는 전체 점 집합에서 최소 색상 스패닝 구간·사각형·직사각형·삼각형·원을 구하는 알고리즘에 집중했으며, 전처리 없이 O(n) 혹은 O(n log n) 시간에 해를 구했다. 여기서는 쿼리 점 q가 주어졌을 때, q를 포함하는 최소 색상 스패닝 도형을 실시간으로 반환하도록 설계된 데이터 구조와 전처리 절차를 제안한다.

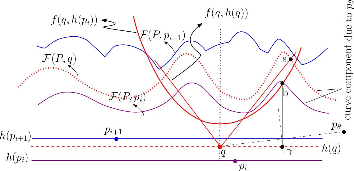
핵심 아이디어는 모든 가능한 최소 색상 스패닝 도형을 미리 계산하고, 이를 고차원 범위 트리와 L∞ 보로노이 다이어그램 등과 결합한 복합 인덱스에 저장하는 것이다. 도형은 두 종류로 구분한다. (I) q가 도형 내부에 존재하는 경우와 (II) q가 도형 경계에 놓여 도형을 확장해야 하는 경우이다. 각각에 대해 최적 후보를 빠르게 찾기 위해 4‑차원(정사각형) 혹은 5‑차원(직사각형) 범위 트리를 구축하고, 내부 노드에 최소·최대 측면 좌표 혹은 보로노이 다이어그램을 보관한다.

1차원 구간(SCSI)에서는 점들을 정렬하고 각 점에 대해 시작·끝·포함 구간을 O(n) 시간에 구한다. 쿼리 시 이진 탐색으로 인접 점을 찾고, 사전 계산된 세 리스트를 이용해 내부·경계 두 경우를 O(log n) 시간에 평가한다.

2차원 정사각형(SCSS)에서는 모든 최소 색상 스패닝 정사각형을 O(n log² n) 시간에 구하고, N = Θ(nk) 개의 정사각형을 저장한다. 4‑차원 범위 트리 Ttbʳ에 (top, bottom, left, right) 좌표를 넣어, q를 포함하는 정사각형을 O((log N·log log N)³) 시간에 찾는다. 경계 확장 경우는 정사각형을 “stabbing”(수직·수평선에 의해 가로지르는) 여부에 따라 9개의 서브 구조로 나누어 처리한다. 각 서브 구조는 3‑차원 혹은 2‑차원 트리와 L∞ 보로노이 다이어그램을 활용해 O((log N·log log N)²) 혹은 O(log² N) 시간에 최적 후보를 산출한다.

직사각형(SCSR)은 최소 색상 스패닝 직사각형이 Θ((n−k)²) 개임을 이용해, 동일한 4‑차원 트리와 3‑차원 서브 트리를 적용한다. 전처리 복잡도는 O(N·log N·log log N)², 쿼리 시간은 O((log N·log log N)³)이다.

정삼각형(SCST)과 원(SCSC)은 각각 고정 방향 정삼각형과 원에 대해 유사한 접근법을 사용한다. 특히 원의 경우 정확 해를 구하기 어려워 (1+ε) 근사 해를 제공한다. 원의 중심을 임의의 직선 ℓ에 제한하고, ℓ 위에서 최소 색상 스패닝 원을 찾는 제한 문제를 최적화한 뒤, ℓ을 여러 개 배치해 전체 근사 해를 만든다. 이 과정은 O(n log n) 전처리와 O(log n·log log n) 쿼리 시간을 보인다.

전체적으로 논문은 색상 스패닝 도형을 사전 계산하고, 고차원 범위 검색과 보로노이 다이어그램을 결합한 복합 인덱스를 설계함으로써, 다양한 도형에 대해 로그 수준의 쿼리 시간을 달성한다. 전처리 복잡도는 도형 종류에 따라 O(n log n)에서 O(n²·α(n))까지 다양하지만, 쿼리 효율성을 크게 향상시킨다.


댓글 및 학술 토론

Loading comments...

의견 남기기