클러스터형 악성코드 전파에 최적 패치 전략

클러스터형 악성코드 전파에 최적 패치 전략
안내: 본 포스트의 한글 요약 및 분석 리포트는 AI 기술을 통해 자동 생성되었습니다. 정보의 정확성을 위해 하단의 [원본 논문 뷰어] 또는 ArXiv 원문을 반드시 참조하시기 바랍니다.

초록

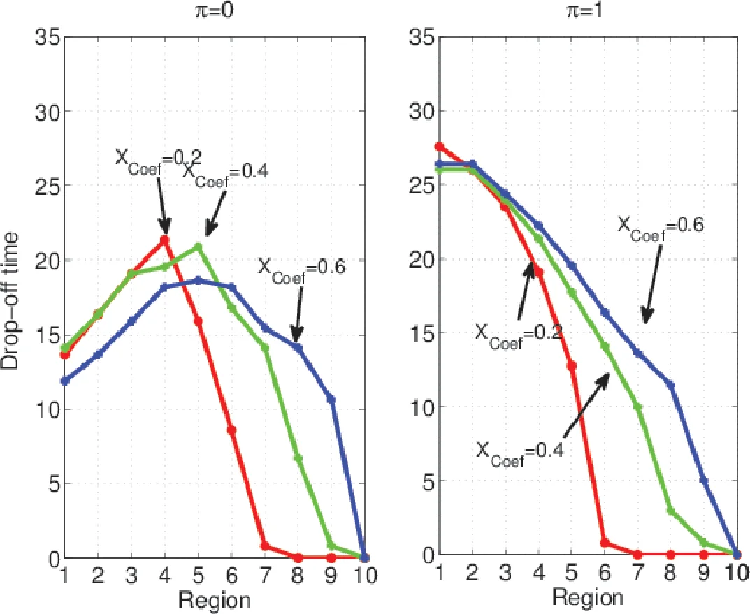
이 논문은 모바일 네트워크에서 클러스터 구조와 이종 접촉률을 고려한 평균장 모델을 기반으로, 패치 비용과 감염 피해를 동시에 최소화하는 동적 최적 패치 정책을 제시한다. Pontryagin 최대 원리를 이용해 각 클러스터별 패치 속도가 단일 임계값을 갖는 bang‑bang 형태(또는 완만한 감소 형태)임을 증명하고, 복제형·비복제형 두 경우에 대해 해석적 결과와 시뮬레이션을 제공한다.

상세 분석

본 연구는 기존의 균일 혼합 가정에 의존한 패치 최적화 연구와 달리, 네트워크를 M개의 이질적 타입(클러스터)으로 구분하고 타입 간 접촉률 βij와 패치 전파률 (\bar β_{ij})를 별도로 설정한다. 비복제형 모델에서는 초기에 일부 디스패처(R0i)만이 패치를 전파할 수 있으며, 디스패처가 접촉 시 susceptible와 infective를 각각 recovered 상태로 전환한다. 이때 감염 노드에 대한 치유 효율을 πij∈


댓글 및 학술 토론

Loading comments...

의견 남기기