시간변화형 서브가우시안 모델을 이용한 독립 저랭크 행렬 분석

본 논문은 기존 ILRMA가 슈퍼가우시안 가정에 한정된 문제를 해결하고자, 형태 매개변수 β=4인 서브가우시안 복소 일반화 가우시안 분포를 시간‑변화형으로 적용한다. 이를 위해 동질 소스 모델에 대한 새로운 업데이트 기법인 GIP‑HSM을 제안하고, 공간 분리 파라미터의 수렴을 보장하는 업데이트 규칙을 도출한다. 실험을 통해 제안 방법이 음악·음성 등 다양한 신호에 대해 뛰어난 범용성을 보임을 확인하였다.

저자: Shinichi Mogami, Norihiro Takamune, Daichi Kitamura

시간변화형 서브가우시안 모델을 이용한 독립 저랭크 행렬 분석
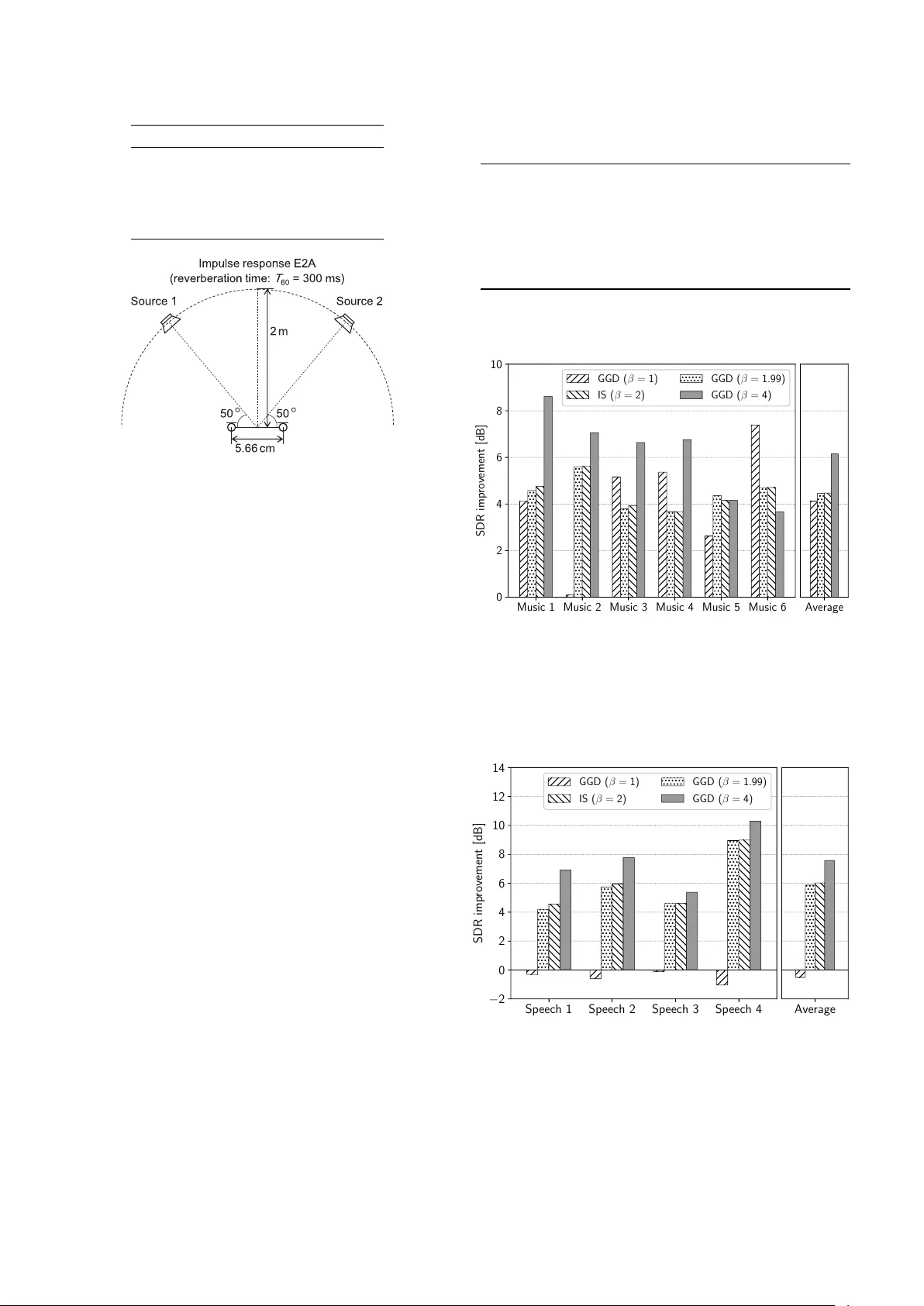
본 논문은 독립 저랭크 행렬 분석(ILRMA)의 소스 모델링 한계를 극복하고자, 시간‑변화형 서브가우시안 복소 일반화 가우시안 분포(GGD)를 기반으로 한 새로운 ILRMA 변형을 제안한다. 기존 ILRMA는 주로 이소트로픽 복소 가우시안(β=2) 혹은 복소 스튜던트 t(β<2) 분포를 가정했으며, 이는 슈퍼가우시안 형태에만 적합해 음악과 같은 플래티쿠르틱 신호를 충분히 표현하지 못했다. 1. **문제 정의 및 기존 모델** - 관측 신호 x_{ij}는 주파수별 혼합 행렬 A_i와 원본 신호 s_{ij}의 곱으로 표현된다. M=N인 경우, 역행렬 W_i를 통해 추정 신호 y_{ij}=W_i x_{ij}를 얻는다. - GGD‑ILRMA는 소스 y_{ij,n}에 대해 시간‑변화형 이소트로픽 복소 GGD(p(y)=β/(2π r^2 Γ(2/β)) exp(-|y|^β / r^β)) 를 적용한다. β=2이면 가우시안, β<2이면 슈퍼가우시안, β>2이면 서브가우시안이다. - 비용 함수 L_GGD = -2J Σ_i log|det W_i| + Σ_{i,j,n} (|y_{ij,n}|^β / r_{ij,n}^β + 2 log r_{ij,n}) 로 정의되며, r_{ij,n}= Σ_k t_{ikn} v_{kjn} 로 NMF 형태의 저랭크 구조를 갖는다. 2. **기존 업데이트 방식의 한계** - β≤2인 경우, 가중산술·기하 평균 부등식(10)을 이용해 MM 알고리즘으로 주요화 함수를 구성하고, 반복 투영(IP)으로 W_i를 업데이트한다. - β>2, 즉 서브가우시안 경우에는 x^β를 2차 형태로 상한화하는 것이 불가능해 기존 IP가 적용되지 않는다. 따라서 서브가우시안 모델에 대한 업데이트 규칙이 부재했다. 3. **제안하는 GIP‑HSM 기법** - 비용 함수를 L = Σ_i

원본 논문

고화질 논문을 불러오는 중입니다...

댓글 및 학술 토론

Loading comments...

의견 남기기