캣터펄과 제한 차수 트리의 반복 임계값 완전 규명

캣터펄과 제한 차수 트리의 반복 임계값 완전 규명
안내: 본 포스트의 한글 요약 및 분석 리포트는 AI 기술을 통해 자동 생성되었습니다. 정보의 정확성을 위해 하단의 [원본 논문 뷰어] 또는 ArXiv 원문을 반드시 참조하시기 바랍니다.

초록

본 논문은 문자열의 반복 임계값 개념을 그래프 색채에 확장하여, 특히 꼬리(백본)만으로 이루어진 나무인 캣터펄과 최대 차수가 3인 트리에서의 반복 임계값을 정확히 구한다. 알파벳 크기 k에 따라 캣터펄의 임계값은 k≥4에서 3/2, k=2,3에서는 각각 3,2이며, 최대 차수 3인 트리의 경우 k=4,5에서는 3/2, k>6에 대해서는 상하한을 제시한다.

상세 분석

논문은 먼저 Dejean의 반복 임계값 R T(k)와 그 그래프 일반화 R T(k,G)를 소개한다. 기존 연구에서 경로(P), 사이클(C), 그래프 분할(S), 일반 트리(T) 등에 대한 결과가 알려져 있었으며, 특히 R T(k,P)=R T(k)임을 이용해 경로에 대한 임계값을 바로 차용한다. 이후 캣터펄(CP)과 최대 차수 3인 캣터펄(CP₃)에 대한 새로운 정리를 전개한다.

  1. 이진 알파벳(k=2) 경우

    • 하한: 백본에 연속된 ‘xxx’ 혹은 ‘xyx’ 패턴이 발생하면 3‑반복이 필연적으로 나타난다. 따라서 R T(2,CP₃)≥3.
    • 상한: 백본을 2⁺‑free 단어(예: (0011)ω)로 색칠하고, 잎 정점은 백본과 다른 색으로 채우면 전체 그래프가 3⁺‑free가 된다. 따라서 R T(2,CP)=3이 정확히 성립한다.
  2. 삼진 알파벳(k=3) 경우

    • 하한: 2‑free 3‑색칠이 불가능함을 보이기 위해 백본에 ‘xyx’ 패턴이 반드시 존재함을 이용한다. 이 패턴을 확장하면 2‑반복이 발생한다.
    • 상한: 백본을 2⁺‑free 2‑색으로 색칠하고, 모든 잎을 제3의 색으로 채우면 2⁺‑free가 된다. 따라서 R T(3,CP)=2.
  3. 사진 알파벳(k=4) 경우

    • 하한: Theorem 4(iii)에서 R T(4,T)=3/2임을 이용해 R T(4,CP₃)≥3/2임을 도출한다.
    • 상한: 백본에 3/2‑free 4‑색칠이 가능함을 보이고, 잎 정점은 남은 색으로 순환 배치하면 3/2‑반복이 발생하지 않는다. 따라서 R T(4,CP₃)=3/2.
  4. k>5 경우

    • Lemma 8과 9에서 거리 η≈⌈k/2⌉ 이하의 정점들이 서로 다른 색을 가져야 함을 이용해, k가 홀수이면 2η>k가 되어 (1+1/⌈k/2⌉)‑free 색칠이 불가능함을 증명한다. 짝수 k는 홀수 경우와 동일한 상한을 갖는다.
    • Lemma 10에서는 η=⌈k/2⌉를 사용해 백본을 (1+1/η)⁺‑free (η+1)‑색으로 색칠하고, 잎을 남은 k−(η+1)=η−2개의 색으로 순환 배치하면 전체 그래프가 (1+1/η)⁺‑free가 된다.
    • 따라서 모든 k>5에 대해 R T(k,CP₃)=1+1/⌈k/2⌉가 정확히 성립한다. 이는 캣터펄 전체(CP)에도 동일하게 적용되어 k≥4에서는 3/2, k=2,3에서는 앞서 구한 값이 된다.

다음으로 최대 차수 3인 트리(T₃)에 대한 결과를 제시한다.

  • k=4: 이미 R T(4,CP₃)=3/2이므로, 더 일반적인 트리에서도 동일한 하한·상한이 성립한다. 즉, R T(4,T₃)=3/2.
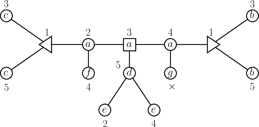
  • k=5: Figure 4에 제시된 특수 트리 구조를 이용해 5‑색칠이 3/2‑free가 불가능함을 보인다. 반대로, 기존 결과 R T(5,T)=3/2와 일치하므로 R T(5,T₃)=3/2가 정확히 얻어진다.
  • k>6: Theorem 13에서 t>4를 임의로 잡고, 색을 (γ,λ) 형태의 쌍으로 구성한다. γ‑컴포넌트는 Dejean 단어를 두 배로 늘린 형태로, λ‑컴포넌트는 이진 경로 방향에 따라 정의한다. 이를 통해 (1+1/t)⁺‑free 색칠을 구현하고, 거리 제한을 이용해 (1+1/t)‑free 색칠이 불가능함을 보인다. 결과적으로
    \

댓글 및 학술 토론

Loading comments...

의견 남기기