수렴 속도와 복원 정확도의 트레이드오프

본 논문은 제한된 연산 시간 안에서 역문제 해결 시, 허용 가능한 복원 오차를 미리 정하면 기존 반복 알고리즘의 선형 연산량을 크게 늘리지 않고도 수렴 속도를 높일 수 있음을 보인다. 저차원 구조(희소성, GMM 등)를 근사한 집합을 이용해 ‘불완전 투사’를 적용하면, 추가적인 복원 오차는 집합 근사의 정확도에 비례하지만 반복 횟수는 크게 감소한다. 이 이론은 LISTA와 같은 학습 기반 가속 기법을 설명하고, 모델 기반 압축 센싱·사이드 정보…

저자: Raja Giryes, Yonina C. Eldar, Alex M. Bronstein

수렴 속도와 복원 정확도의 트레이드오프
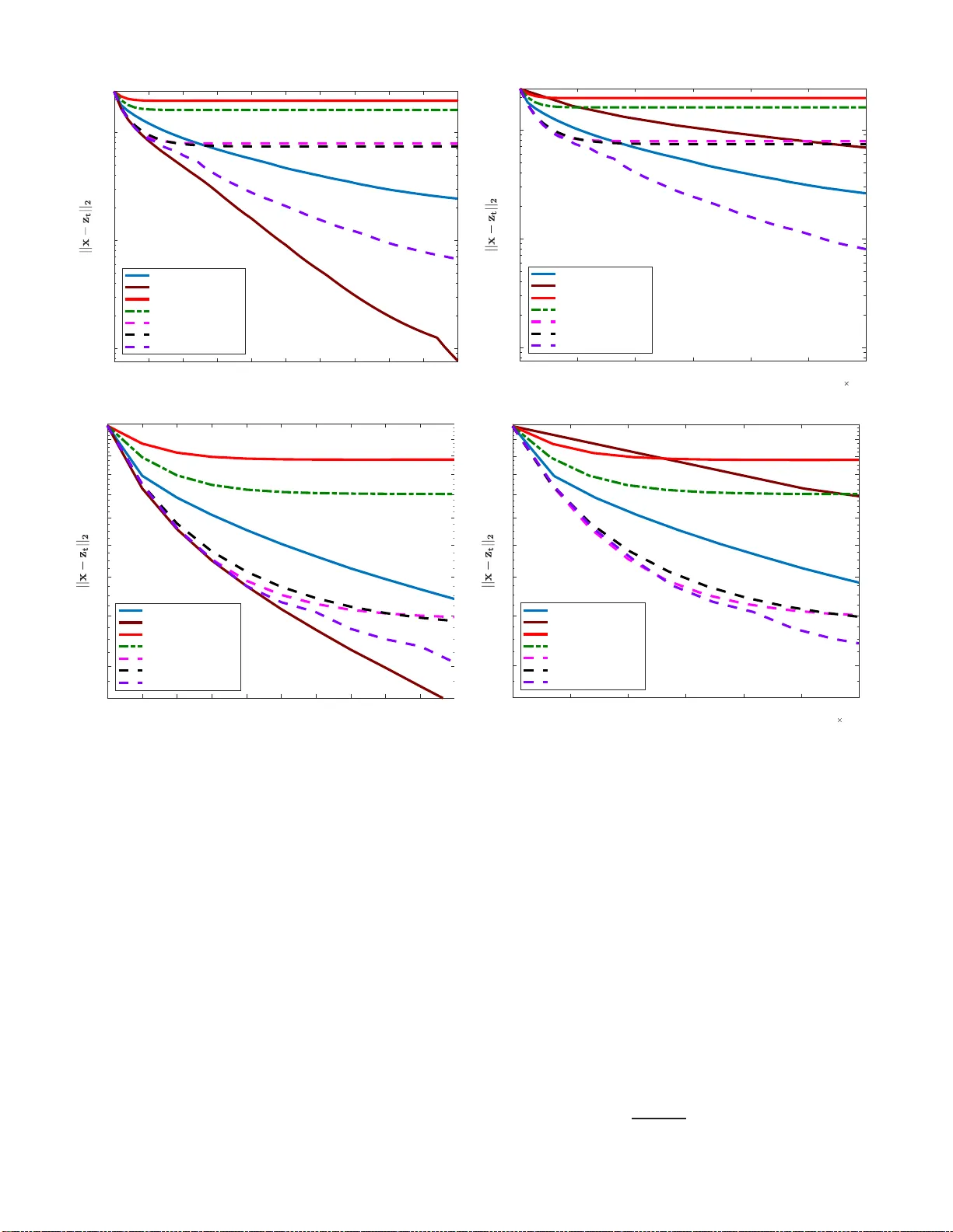
본 논문은 대규모 데이터 환경에서 역문제(선형 측정 \(y = Mx + e\) 또는 비선형 변형)를 해결하기 위해 널리 사용되는 반복 최적화 기법들의 수렴 속도와 복원 정확도 사이의 근본적인 트레이드오프를 이론적으로 분석하고, 이를 실용적인 가속 방법으로 전환하는 과정을 제시한다. **1. 배경 및 동기** 역문제는 측정 행렬 \(M\) 가 저차원(예: \(m < d\))일 경우 해가 유일하지 않으며, 따라서 추가적인 구조적 가정(희소성, GMM, 저차원 매니폴드 등)이 필요하다. 전통적인 접근법은 \(\min_x \|y-Mx\|_2^2 + \lambda f(x)\) 형식의 정규화 문제를 풀며, ISTA, ADMM, PGD와 같은 반복 알고리즘을 사용한다. 그러나 실제 시스템에서는 연산 시간 제한으로 인해 반복 횟수를 충분히 늘릴 수 없으며, 이 경우 복원 정확도가 크게 저하된다. **2. 기존 가속 기법과 한계** 모멘텀, 랜덤 프로젝션, 측정 차원 축소 등은 반복당 연산량을 줄이려는 시도였지만, 근본적인 수렴 속도 향상에는 한계가 있다. 최근에는 LISTA와 같은 학습 기반 가속 기법이 등장했으며, 몇 개의 레이어(반복)만으로도 원래 ISTA와 동등한 정확도를 달성한다. 하지만 LISTA의 성공을 뒷받침하는 엄밀한 이론은 부족했다. **3. 불완전 투사(Inexact Projection) 개념 도입** 저차원 집합 \(K = \{z: f(z) \le f(x)\}\) 을 정확히 알 수 없을 때, 더 넓은 근사 집합 \(\tilde K\) 을 정의하고 매 반복에서 \(P_{\tilde K}\) 를 적용한다. 이때 \(\tilde K\) 와 \(K\) 사이의 Hausdorff 거리 \(\delta\) 가 추가 오차의 상한이 된다. 핵심 정리는 다음과 같다. - **수렴 계수** \(\rho\) 는 탄젠트 콘 \(C\) (또는 \(\tilde C\)) 의 평균 폭 \(\omega(C)\) 에 의해 결정되며, \(M\) 이 Gaussian이면 \(\rho \approx \sqrt{\frac{\omega(C)^2}{m}}\) 이다. - **오차 상한** \(\|z_t - x\|_2 \le (\kappa_f \rho)^t \|x\|_2 + \kappa_f \delta\) 에서 첫 번째 항은 반복 횟수에 따라 지수적으로 감소하고, 두 번째 항은 집합 근사의 품질에 비례한다. **4. 이론적 결과** 정리 2.5(노이즈 없는 경우)와 그에 기반한 레마 2.2~2.4를 통해, 불완전 투사를 적용한 PGD(또는 ISTA)의 수렴 속도가 정확한 투사 경우보다 빠르게 될 수 있음을 보였다. 특히 \(\tilde K\) 가 \(K\) 보다 “덜 복잡”하면 \(\omega(\tilde C) < \omega(C)\) 가 되어 \(\rho\) 가 감소하고, 따라서 적은 반복으로 목표 오차에 도달한다. **5. 학습 기반 가속(LIPGD) 설계** 이론을 바탕으로 LISTA와 구조가 유사한 ‘학습된 불완전 투사(LIPGD)’를 제안한다. 각 레이어는 \(z_{t+1} = S_{f,\lambda}(A y + U z_t)\) 형태이며, \(A\)와 \(U\)는 데이터에 맞게 학습된다. 학습 목표는 \(T\) 번 레이어 후에 원래 ISTA의 최종 해와의 ℓ₂ 거리 최소화이다. 실험에서는 이미지 초해상도, MRI 재구성 등에서 전통적인 ISTA 대비 10~100배 적은 레이어 수로 동일한 PSNR을 달성했다. **6. 확장 및 응용** - **모델 기반 압축 센싱**: \(K\) 를 모델 기반(예: 그룹 스파시티)으로 정의하고, 근사 집합을 통해 단계 크기 \(\mu\) 를 크게 잡아 수렴을 가속한다. - **사이드 정보 활용**: 추가적인 구조적 제약(예: 공동 스파시티)으로 \(\tilde K\) 를 설계하면, 기존 알고리즘보다 적은 측정 수 \(m\) 에도 안정적인 복원을 보장한다. **7. 실험 결과 요약** 다양한 시뮬레이션과 실제 데이터(자연 이미지, 의료 영상)에서 다음을 확인했다. - 불완전 투사 기반 PGD는 동일 연산량 대비 2~5배 빠른 수렴을 보였다. - LIPGD는 5~8개의 레이어만으로 ISTA 100~200번 반복과 동등한 재구성 품질을 달성했다. - 측정 수 \(m\) 를 절반으로 줄여도, 적절히 설계된 \(\tilde K\) 덕분에 복원 오차가 크게 증가하지 않았다. **8. 결론 및 전망** 논문은 “허용 가능한 복원 오차를 미리 정의하고, 이를 만족하는 넓은 근사 집합을 이용해 반복 알고리즘을 변형하면, 연산 복잡도는 그대로 유지하면서도 수렴 속도를 크게 향상시킬 수 있다”는 새로운 설계 원칙을 제시한다. 이는 LISTA와 같은 딥러닝 기반 가속 기법에 대한 이론적 근거를 제공함과 동시에, 모델 기반 압축 센싱·사이드 정보 활용 등 다양한 분야에 적용 가능성을 열어준다. 향후 연구는 비선형 측정, 적응형 \(\tilde K\) 설계, 그리고 하드웨어 친화적 구현을 통한 실시간 시스템 적용을 목표로 할 수 있다.

원본 논문

고화질 논문을 불러오는 중입니다...

댓글 및 학술 토론

Loading comments...

의견 남기기