보안 강화 MISO NOMA 인지 라디오와 SWIPT을 위한 자원 배분

보안 강화 MISO NOMA 인지 라디오와 SWIPT을 위한 자원 배분
안내: 본 포스트의 한글 요약 및 분석 리포트는 AI 기술을 통해 자동 생성되었습니다. 정보의 정확성을 위해 하단의 [원본 논문 뷰어] 또는 ArXiv 원문을 반드시 참조하시기 바랍니다.

초록

본 논문은 다중 안테나 기반 MISO‑NOMA 인지 라디오 네트워크에 SWIPT를 결합하고, 1차·2차 네트워크 모두의 물리층 보안을 향상시키기 위해 인공 잡음(AN) 기반 협동 재밍 방식을 제안한다. 비선형 에너지 수집 모델을 적용한 전력 최소화 문제를 수식화하고, 반정밀도 반전(SDR)과 연속 볼록 근사(SCA)를 이용한 서브옵티멀 알고리즘을 설계하였다. 시뮬레이션 결과, 제안된 협동 재밍이 보안 성능을 크게 개선하고, NOMA가 기존 OMA에 비해 전력 소비를 절감함을 확인하였다.

상세 분석

이 연구는 차세대 무선 통신에서 핵심이 되는 인지 라디오(CR)와 비직교 다중 접속(NOMA)을 동시에 적용하고, 동시에 전력 제한 디바이스를 위한 무선 전력 전송(SWIPT)까지 고려한 최초의 통합 시스템 모델을 제시한다. 기존 연구들은 주로 선형 에너지 수집 모델을 가정하거나, NOMA와 CR을 별도로 다루어 보안 측면에서의 한계를 보였다. 본 논문은 이러한 한계를 극복하기 위해 두 가지 혁신적인 접근을 도입한다. 첫째, 1차 네트워크(PBS)와 2차 네트워크(CBS) 모두에서 인공 잡음(AN)을 생성하여 적대적인 에너지 수집 수신기(EHR)의 도청을 방해하는 협동 재밍 스킴을 설계한다. 이때 CBS가 전송하는 AN은 1차 네트워크의 비밀성 향상에 기여하고, 그 대가로 2차 네트워크는 주파수 사용 권한을 얻어 SWIPT 서비스를 제공한다. 둘째, 실제 회로 특성을 반영한 비선형 에너지 수집 모델을 채택함으로써, 수집 전력과 RF 입력 전력 사이의 포화 현상을 정확히 모델링한다. 이를 통해 전력 최소화 문제를 보다 현실적인 제약 조건 하에 풀 수 있다.

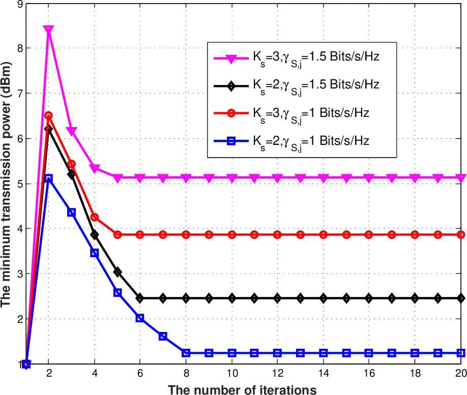
수학적으로는 전송 파워 최소화를 목표로, 1차·2차 빔포밍 행렬(Wₚₘ, Wₛⱼ)과 AN 공분산 행렬(Σₚₘ, Σₛ)을 최적화한다. 제약식은 (i) PU와 SU의 최소 비밀 전송률, (ii) PU에 대한 허용 간섭 전력, (iii) EHR의 최소 에너지 수집 요구량을 포함한다. 비선형 EH 식은 로그-시그모이드 형태로 표현되어 비볼록성을 야기하므로, 논문은 반정밀도 반전(SDR)으로 랭크 제약을 완화하고, 연속 볼록 근사(SCA)를 통해 로그·지수 형태의 비볼록 제약을 순차적으로 선형화한다. 각 반복 단계에서 해결되는 문제는 반정밀도 반전 기반의 준볼록 최적화 문제이며, 수렴 시 원래 문제의 서브옵티멀 해에 근접한다.

시뮬레이션에서는 1차와 2차 네트워크 각각에 다수의 클러스터와 사용자들을 배치하고, 다양한 비밀 전송률 요구와 EH 요구를 변동시켜 알고리즘의 견고성을 검증한다. 결과는 (1) 협동 재밍이 EHR의 도청률을 현저히 낮추어 비밀 전송률을 보장하고, (2) NOMA가 동일한 비밀률 목표 하에서 OMA 대비 전력 소비를 20~30% 절감함을 보여준다. 또한 비선형 EH 모델을 적용했을 때, 실제 회로 포화 효과를 반영한 전력 할당이 선형 모델 대비 더 효율적인 자원 배분을 가능하게 함을 확인하였다.

이 논문의 주요 기여는 다음과 같다. 첫째, CR‑NOMA‑SWIPT 시스템에 대한 물리층 보안 프레임워크를 최초로 제시하고, AN 기반 협동 재밍을 통해 1차·2차 네트워크 모두의 보안을 동시에 강화한다. 둘째, 비선형 EH 모델을 통합함으로써 실제 에너지 수집 회로의 포화 현상을 고려한 전력 최소화 문제를 정의하고, SDR·SCA 기반의 실용적인 서브옵티멀 해법을 제공한다. 셋째, NOMA가 OMA 대비 전력 효율성을 유지하면서 보안 요구를 만족시킬 수 있음을 실험적으로 입증한다. 이러한 결과는 차세대 5G‑Beyond 네트워크에서 스펙트럼·에너지 효율과 보안을 동시에 달성하려는 설계자들에게 중요한 설계 지침을 제공한다.


댓글 및 학술 토론

Loading comments...

의견 남기기