최소 지배 집합 문제의 시뮬레이션 어닐링 및 캐비티 방법 분석

최소 지배 집합 문제의 시뮬레이션 어닐링 및 캐비티 방법 분석
안내: 본 포스트의 한글 요약 및 분석 리포트는 AI 기술을 통해 자동 생성되었습니다. 정보의 정확성을 위해 하단의 [원본 논문 뷰어] 또는 ArXiv 원문을 반드시 참조하시기 바랍니다.

초록

본 논문은 최소 지배 집합(MDS) 문제에 대해 복제 대칭(RS)과 1단계 복제 대칭 파괴(RSB) 이론을 적용하고, 시뮬레이션 어닐링과 영온도 서베이 프로파게이션(SP)·디케이메이션(SPD) 알고리즘을 개발한다. 정규 무작위 그래프(RR)와 에르되시–레니(graph)에서 클러스터 전이와 응축 전이를 확인하고, SP 기반 디케이메이션이 기존 BPD와 동등한 성능을 보임을 실험적으로 입증한다.

상세 분석

이 연구는 최소 지배 집합(MDS)이라는 NP‑완전 최적화 문제를 통계 물리학의 스핀 글래스 모델에 매핑한 뒤, 평균장 이론인 베일리‑프로파게이션(BP)과 복제 대칭(RS) 해석을 기본 틀로 삼는다. BP 식(2)은 각 변에 대한 공동 확률 p(c_i,c_j)를 정의하고, 이를 통해 노드와 변의 자유에너지(식 5,6)를 계산한다. 그러나 RS는 해 공간이 하나의 큰 클러스터에 몰려 있다고 가정하기 때문에, 저온에서 실제 해의 복잡한 구조를 포착하지 못한다는 한계가 있다. 이를 극복하기 위해 저자들은 1단계 복제 대칭 파괴(RSB) 프레임워크를 도입한다. 일반화된 파티션 함수 Ξ(y;β)=∑_α e^{-yF_α} (식 7)에서 y는 클러스터 간 자유에너지 차이를 조절하는 파라미터이며, y=β 일 때 클러스터 전이와 응축 전이를 동시에 탐색한다.

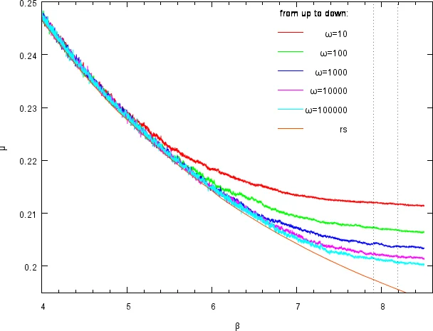
RSB에서는 평균 메시지 \bar p와 조건부 메시지 P를 도입해 (식 16‑19) 새로운 업데이트 규칙을 제시한다. 특히 조건부 메시지는 특정 클러스터 내에서의 확률 분포를 샘플링하는 역할을 하여, 복잡한 해 공간을 효율적으로 탐색한다. 이때 인구 동역학(population dynamics) 알고리즘을 사용해 메시지 분포를 수치적으로 진화시키며, 복잡도 Σ(β)=y(⟨f⟩−g) 를 계산한다. 그래프 차수 C=5,6에 대해 복잡도가 β≈7.9에서 양의 값을 보이다가 β≈8.2에서 0으로 수렴하는 것을 확인했으며, 이는 클러스터 전이(β_d)와 응축 전이(β_c)가 서로 근접하지만 구분된 현상임을 의미한다.

동적 측면에서는 시뮬레이션 어닐링을 구현한다. 초기 β=1에서 열평형을 얻은 뒤, β를 0.001씩 증가시키며 각 단계마다 ω번 전체 스핀 플립을 시도한다. 이 과정에서 에너지 밀도는 이론적 자유에너지와 일치하지만, β 증가 속도가 너무 빠르면 비평형 효과가 나타나 최적 해에 도달하지 못한다는 점을 실험적으로 보여준다.

영온도에서는 서베이 프로파게이션(SP)과 서베이 프로파게이션 디케이메이션(SPD)을 설계한다. SP는 경고 전파(WP)와 유사하지만, 각 변수의 “경고” 상태를 확률적으로 전파해 클러스터 내 변수들의 고정 가능성을 평가한다. SPD는 SP에서 얻은 확률을 기반으로 가장 확신이 높은 변수를 고정하고, 남은 서브그래프에 대해 반복적으로 SP를 수행한다. 이 알고리즘은 기존의 베이시안 퍼시스턴스 디코딩(BPD)과 거의 동일한 MDS 크기를 달성하면서도 계산 복잡도가 낮아 실용성이 높다.

전체적으로 논문은 (1) MDS 해 공간이 정규 무작위 그래프에서 두 단계의 전이(클러스터·응축)를 보이며, (2) 시뮬레이션 어닐링이 전이 온도 근처에서 급격히 느려지는 동적 메커니즘을 드러내고, (3) 영온도 SP/ SPD가 실제 그래프에서 최적에 근접한 해를 효율적으로 찾을 수 있음을 입증한다. 다만, 이론적 분석이 주로 무작위 그래프 모델에 국한되고, 실제 네트워크 구조(예: 스케일프리, 커뮤니티)에서의 적용 가능성은 추가 연구가 필요하다.


댓글 및 학술 토론

Loading comments...

의견 남기기