가중 네트워크에서 사회 전염의 임계 현상과 전이 유형 분석

가중 네트워크에서 사회 전염의 임계 현상과 전이 유형 분석
안내: 본 포스트의 한글 요약 및 분석 리포트는 AI 기술을 통해 자동 생성되었습니다. 정보의 정확성을 위해 하단의 [원본 논문 뷰어] 또는 ArXiv 원문을 반드시 참조하시기 바랍니다.

초록

본 논문은 가중 네트워크 상의 복합 전염 모델을 제안하고, 차수와 가중치 이질성이 전염 확산의 임계점, 전이 유형(연속·불연속) 및 최종 채택 규모에 미치는 영향을 정량적으로 분석한다.

상세 분석

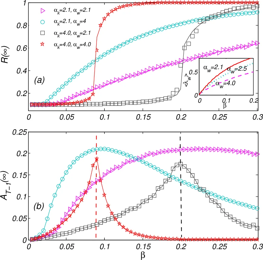
본 연구는 기존의 단순·복합 전염 구분을 확장하여, 엣지 가중치가 전염 확률에 직접적인 영향을 미치는 모델을 설계하였다. 전염 확률은 λ_{ij}=1-(1-β)^{w_{ij}} 로 정의되며, β는 단위 전염 확률, w_{ij}는 두 노드 사이의 정수형 가중치이다. 이때 가중치가 클수록 전염이 더 쉽게 일어나며, 한 번 성공한 전염은 동일 엣지를 통해 재전염되지 않는다. 채택 임계값 T를 도입해, 노드가 T번의 노출을 받으면 채택(A) 상태가 되고, 이후 한 단계만 활동 후 회복(R) 상태로 전이한다(γ=1 가정).

이론적 분석은 기존의 이질 평균장(HMF) 접근법이 가중치 이질성을 무시한다는 한계를 극복하고자, ‘엣지‑가중치 구획(edge‑weight compartmental)’ 방법을 도입하였다. 각 가중치 w에 대해 전염되지 않은 확률 θ_w(t)를 별도로 추적하고, 노드 차수 k에 대한 확률 분포 p(k)와 가중치 분포 g(w)∝w^{-α_w}를 결합한다. θ_w(t)의 동역학은 식 (9)–(13)으로 기술되며, 정적 해 θ_w(∞)는 식 (15)에서 고정점 방정식으로 얻어진다. 이 방정식은 최대 세 개의 실근을 가질 수 있는데, 근의 개수에 따라 전염 확산이 연속적(단일 근) 혹은 불연속적(세 근, 사디점 분기) 전이를 보인다.

시뮬레이션 결과는 이론과 일치하며, 차수 이질성 지수 α_k가 작을수록(강한 이질성) 전이 유형이 연속적으로 변하고, α_k가 약 4.0 이상이면 불연속적 전이가 나타난다. 흥미롭게도, 차수 이질성은 전이 임계점 β_c 주변에서 전염 규모에 이중 효과를 보인다. β가 작을 때는 고차수 노드가 전염 경로를 확대해 최종 채택 비율 R(∞)을 증가시키지만, β가 크면 고차수 노드가 포화 상태에 빠져 전염을 억제함으로써 R(∞)를 감소시킨다. 이는 기존 전염 모델에서 보고된 결과와 일치한다.

가중치 이질성(α_w)의 경우, 전이 유형에는 영향을 주지 않으며 항상 전염을 억제한다. 가중치 분포가 더 편중될수록(α_w 작음) 평균 전염률 ⟨λ⟩이 감소하고, 이는 θ_w(∞)가 크게 유지되어 전염이 차단되는 효과를 만든다. 따라서 가중치 이질성은 전염 확산을 전반적으로 저해하지만, 차수 이질성과는 달리 전이 형태를 바꾸지는 않는다.

이러한 결과는 사회적 행동·정보 확산을 모델링할 때, 단순히 네트워크의 차수 구조만 고려하는 것이 아니라, 관계 강도(가중치)까지 포함한 복합적인 이질성을 동시에 고려해야 함을 시사한다. 특히, 정책 입안자는 전염을 촉진하거나 억제하고자 할 때, 목표 집단의 연결 강도와 차수 분포를 정밀히 파악하여 맞춤형 전략을 설계할 필요가 있다.


댓글 및 학술 토론

Loading comments...

의견 남기기