감정이 정보 확산에 미치는 영향 분석

감정이 정보 확산에 미치는 영향 분석
안내: 본 포스트의 한글 요약 및 분석 리포트는 AI 기술을 통해 자동 생성되었습니다. 정보의 정확성을 위해 하단의 [원본 논문 뷰어] 또는 ArXiv 원문을 반드시 참조하시기 바랍니다.

초록

본 연구는 2014년 9월 트위터 데이터를 활용해 감정(긍정·부정·중립)이 콘텐츠의 확산 속도와 도달 범위에 미치는 영향을 정량적으로 조사한다. 부정적 트윗은 첫 리트윗까지 걸리는 시간이 짧아 빠르게 퍼지지만, 긍정적 트윗은 평균 리트윗 수와 즐겨찾기 수가 더 많아 더 넓은 청중에게 도달한다. 또한 대화의 시간적 패턴(예측형, 예상치 못한, 대칭형, 일시적)별로 감정 분포가 다르게 나타난다.

상세 분석

본 논문은 감정 분석 도구인 SentiStrength를 이용해 19,766,112개의 영어 트윗에 긍정·부정 점수를 부여하고, 긍정 점수와 부정 점수의 차이인 극성 점수(S)로 감정을 3가지(긍정 ≥ 1, 중립 = 0, 부정 ≤ ‑1)로 구분한다. 데이터는 트위터 “gardenhose” 10% 샘플이며, URL·미디어가 없는 순수 텍스트만을 대상으로 하여 감정 분석의 정확성을 높였다.

  1. 감정과 확산 속도·범위

    • 리트윗 수와 즐겨찾기 수는 긍정 트윗이 가장 높으며, 부정 트윗은 중립과 큰 차이를 보이지 않는다. 이는 ‘긍정 편향(positive bias)’ 혹은 ‘폴리안나 효과’가 작용해 사용자가 긍정적 콘텐츠를 더 많이 공유·보관한다는 가설을 뒷받침한다.
    • 첫 리트윗까지 걸리는 평균 시간은 부정 트윗이 가장 짧아, 부정적 메시지가 초기 전파 단계에서 빠르게 확산됨을 보여준다. 부정 트윗은 중립 트윗보다 약간 빠르지만 통계적 유의성은 낮다.
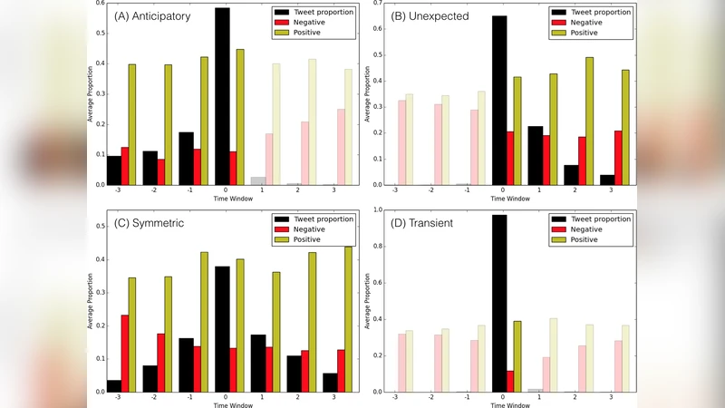
  2. 대화의 시간적 다이내믹스와 감정 패턴

    • 해시태그 기반 대화를 200개 트윗 이상인 1,522개의 활성·독점 토픽으로 선정하고, 피크 전후 트윗 비율(p_b, p_a)을 이용해 Gaussian Mixture Model(GMM)로 4가지 클래스로 군집화했다.
    • 예측형(Anticipatory): 피크 전 활동이 많고, 긍정 트윗 비율이 4044%로 평균보다 높으며 부정 비율은 912%로 낮다. 이는 기대감이 고조된 이벤트가 감정적으로 긍정적임을 시사한다.
    • 예상치 못한(Unexpected): 피크 직전 활동이 거의 없고, 부정 트윗 비율이 데이터 평균 수준을 유지한다. 급작스러운 사건이 부정적 감정을 유발한다는 점과 일치한다.
    • 대칭형(Symmetric): 피크 전·후 활동이 균형을 이루며, 부정 비율이 초기 23%에서 말미에 12%로 감소하고, �정 비율은 반대로 상승한다. 이는 사건 전후로 감정이 점진적으로 전환되는 패턴을 보여준다.
    • 일시적(Transient): 짧은 기간에 급격히 폭발했다가 빠르게 사라지는 형태로, 감정 비율이 크게 변동하지 않으며 평균 수준에 머문다.
  3. 방법론적 강점 및 한계

    • SentiStrength는 짧은 비공식 텍스트에 최적화돼 감정 라벨링 정확도가 6073% 수준으로 기존 도구보다 우수하다. 그러나 감정 강도(15)만을 사용해 복합 감정(예: 슬픔·분노 동시)이나 미묘한 뉘앙스를 포착하기는 어렵다.
    • 데이터는 10% 샘플이므로 전체 트위터 흐름을 완전 재현하지 못한다. 특히 리트윗 수를 메타데이터에서 직접 추출했지만, 샘플링 편향이 남아 있을 가능성이 있다.
    • 멀티미디어(이미지·동영상)와 외부 링크를 제외했기 때문에, 감정이 시각·음성 요소에 의해 크게 변할 경우를 간과한다.
  4. 시사점

    • 마케팅·정책 입안자는 부정적 메시지가 초기 확산에 유리하다는 점을 활용해 위기 상황에서 빠른 정보 전달 전략을 설계할 수 있다.
    • 반면 장기적인 도달 범위와 사용자 참여를 극대화하려면 긍정적·희망적인 콘텐츠를 제작하는 것이 효과적이다.
    • 이벤트 유형에 따라 감정 흐름을 예측함으로써, 실시간 감정 모니터링 시스템을 구축하고, 부정적 감정이 급증하는 ‘예상치 못한’ 상황에 빠르게 대응할 수 있다.

댓글 및 학술 토론

Loading comments...

의견 남기기