중심성에 따른 협업 효율: 베터니스가 NK 탐색에 미치는 영향

중심성에 따른 협업 효율: 베터니스가 NK 탐색에 미치는 영향
안내: 본 포스트의 한글 요약 및 분석 리포트는 AI 기술을 통해 자동 생성되었습니다. 정보의 정확성을 위해 하단의 [원본 논문 뷰어] 또는 ArXiv 원문을 반드시 참조하시기 바랍니다.

초록

본 연구는 베터니스 중심성이 높은 노드가 협업 기반 에이전트 집단의 문제 해결 속도에 미치는 영향을 NK‑피트니스 지형을 이용해 조사한다. 평탄한 지형에서는 네트워크 구조가 성능에 영향을 주지 않으며, 중심 노드가 먼저 최적해를 찾는다. 반면 거친 지형에서는 노드 간 베터니스 분산이 클수록 전체 집단의 탐색 효율이 향상된다. 복제 확률(p)과 과제 난이도(K)에 따라 개별 노드의 성공 확률이 달라지는 메커니즘을 상세히 분석한다.

상세 분석

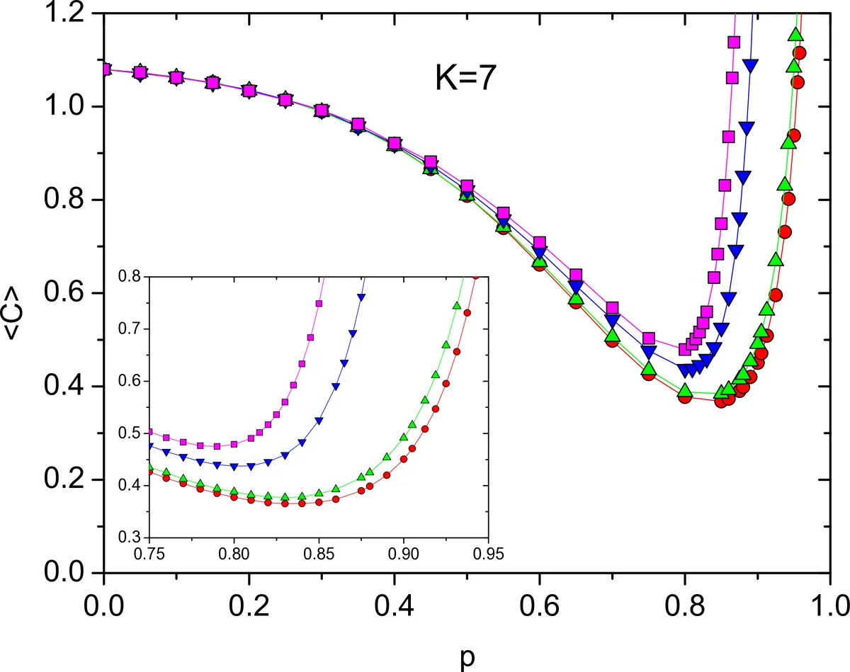
이 논문은 복잡한 조직 문제를 해결하기 위해 원격으로 연결된 소규모 에이전트 집단이 어떻게 협업하는지를 모델링한다. 핵심 변수는 네트워크 내 각 노드의 베터니스 중심성(betweenness centrality)이며, 이는 정보가 최단 경로를 통해 흐를 때 해당 노드가 차지하는 중개 역할을 정량화한다. 연구자는 L = 16개의 에이전트를 고정하고, 각 노드가 정확히 k = 3개의 이웃과 연결된 네 가지 네트워크 토폴로지를 설계하였다. 네트워크 A는 베터니스 최대값과 분산이 모두 가장 큰 구조(계층적 중심 노드와 모듈형 하위 클러스터), 네트워크 B는 평균 베터니스가 최대인 평등형 구조, 네트워크 C는 평균 베터니스가 전체 무작위 샘플의 평균에 가장 가까운 전형적인 무작위 네트워크, 네트워크 D는 베터니스와 분산이 최소인 완전 평등 구조이다.

과제 자체는 NK‑모델(N = 16, K = 0, 3, 7)로 정의된 이진 문자열 공간에서 전역 최대값을 찾는 것이다. K = 0은 매끄러운(단일 피크) 지형, K = 7은 매우 울퉁불퉁한(다수의 로컬 피크) 지형을 의미한다. 에이전트는 두 가지 행동을 수행한다. 첫 번째는 복제 확률 p에 따라 이웃 중 현재 적합도가 가장 높은 모델 에이전트를 모방하는 과정이다. 모델과 차이가 있는 비트 중 하나를 무작위로 선택해 동일하게 바꾸며, 완전히 동일할 경우 무작위 비트를 하나 바꾼다. 두 번째는 1 − p 확률로 무작위 비트를 하나 뒤집는 탐색(move)이다. 시간은 각 업데이트마다 Δt = 1/L씩 증가하고, 어느 한 에이전트가 전역 최적을 발견하면 탐색이 종료된다.

시뮬레이션 결과는 두 가지 주요 패턴을 보여준다. 첫째, 매끄러운 지형(K = 0)에서는 네트워크 토폴로지가 탐색 비용 C = Lt*/2^N에 거의 영향을 미치지 않는다. 다만 베터니스가 높은 노드가 전역 최적을 최초로 찾을 확률이 유의하게 높으며, 이는 중심 노드가 정보 흐름의 허브 역할을 수행하기 때문이다. 둘째, 울퉁불퉁한 지형(K > 0)에서는 베터니스 분산 σ_B^2와 집단 성능 사이에 양의 상관관계가 존재한다. 베터니스가 고르게 분포된 네트워크 B보다, 중심 노드와 주변 노드 간 베터니스 격차가 큰 네트워크 A가 평균 탐색 비용이 낮다. 이는 정보가 과도하게 집중될 경우 로컬 피크에 대한 오도된 신호가 퍼져 전체 집단을 잘못된 방향으로 이끌 가능성이 높아지기 때문이다.

복제 확률 p의 역할도 정교하게 분석되었다. p가 매우 낮으면(≈0) 모든 에이전트가 독립적으로 탐색하므로 노드 위치와 무관하게 성공 확률이 균등하다. p가 중간값(최적 p)일 때는 중심 노드가 유리해지며, 이는 모델 에이전트가 높은 적합도를 보유할 확률이 높아 복제 과정이 효율적으로 작동하기 때문이다. 반면 p가 지나치게 높으면(≈1) 모든 에이전트가 동일한 모델을 복제하게 되면서 탐색 다양성이 사라지고, 주변 노드가 오히려 로컬 피크에 머무를 확률이 높아진다.

또한 평균 최단 경로 길이(ℓ̄)와 효율성 간의 관계도 검토되었다. 네트워크 A와 B는 ℓ̄이 길어 ‘비효율적’이라 불리지만, 울퉁불퉁한 지형에서는 오히려 이러한 지연이 정보 전파를 완화시켜 로컬 피크에 대한 과도한 집중을 방지한다. 반대로 ℓ̄이 짧은 네트워크 D는 정보가 빠르게 전파돼 초기 탐색 단계에서 로컬 피크에 빠르게 수렴, 전체 탐색 비용이 증가한다.

결론적으로, 과제 난이도와 복제 확률에 따라 최적의 네트워크 구조가 달라진다. 단순 과제에서는 중심성이 높은 노드가 빠른 해결을 주도하고, 복잡 과제에서는 베터니스 분산이 큰 비대칭 구조가 전체 집단의 탐색 효율을 높인다. 이러한 결과는 분산 컴퓨팅, 군집 로봇, 원격 협업 조직 설계 등에 적용 가능하며, 네트워크 설계 시 ‘정보 흐름의 집중 vs 분산’ 트레이드오프를 정량적으로 고려해야 함을 시사한다.


댓글 및 학술 토론

Loading comments...

의견 남기기