만성 골수성 백혈병 치료 일정 최적화

만성 골수성 백혈병 치료 일정 최적화
안내: 본 포스트의 한글 요약 및 분석 리포트는 AI 기술을 통해 자동 생성되었습니다. 정보의 정확성을 위해 하단의 [원본 논문 뷰어] 또는 ArXiv 원문을 반드시 참조하시기 바랍니다.

초록

본 논문은 기존 표적 치료제(이마티닙, 다사티닙, 닐로티닙)의 저항성 돌연변이를 고려한 수학적 ODE 모델을 구축하고, 월 단위 복용 스케줄을 정수 변수로 표현한 혼합정수 최적화 문제를 풀어 치료 실패 시점을 최대화하는 최적 조합 일정을 제시한다. 또한 중성구 감소(중성구감소증)라는 독성 제약을 ANC 동역학 모델로 포함시켜 실제 임상 적용 가능성을 높였다.

상세 분석

이 연구는 CML(만성 골수성 백혈병)의 복잡한 세포 계층 구조를 4단계(줄기세포, 전구세포, 분화세포, 말단세포)로 나누고, 각 단계별로 정상 세포와 WT(와일드타입) 및 다수의 저항성 돌연변이 세포를 동시에 추적한다. ODE 시스템(식 2a‑2d)은 약물 j에 따라 생산(b​_jℓ,i) 및 사멸(d​_jℓ,i)률이 달라지는 비선형 동역학을 포함한다. 특히 줄기세포 경쟁을 φ_i(t)=1/(1+ p_i Σ x₁,i) 형태의 밀도 의존 함수로 모델링해 정상·악성 줄기세포가 일정한 평형을 유지하도록 설계하였다. 파라미터 p₁, p₂는 정상·WT 줄기세포의 평형 농도(K₁, K₂)에서 역산되며, 돌연변이 유형 i≥3에 대해서는 p_i=p₂로 동일하게 가정하였다.

독성 제약은 환자의 절대 중성구 수(ANC)를 별도 선형 모델로 기술한다. 매월 약물 복용 여부를 이진 변수 z_{m,j} (j=0: 휴식, 1: 닐로티닙, 2: 다사티닙, 3: 이마티닙)로 표시하고, ANC는 약물별 감소율 d_anc,j와 휴식 시 증가율 b_anc을 이용해 y_{m+1}=min{ y_m + b_anc·z_{m,0} – Σ_j d_anc,j·z_{m,j}, U_anc } 로 업데이트한다. ANC가 L_anc(1000 /mm³) 이하로 떨어지면 다음 달 반드시 휴식이 강제된다.

최적화 목표는 치료 기간 M(통상 24~36개월) 말에 총 백혈병 세포량 Σ_{ℓ≥1, i≥2} x_{ℓ,i}(MΔt) 를 최소화하는 것이다. 제약식(3b‑3e)은 ODE에 의해 정의된 세포 동역학, 매월 하나의 약물만 복용 가능함을 보장하는 이진 제약, 그리고 ANC 제한을 동시에 만족한다. 원문에서는 이 혼합정수 비선형 문제를 직접 풀기 어려워, 줄기세포 구간을 선형 근사화하고 나머지 계층을 선형 ODE로 변환해 MILP 형태로 재구성하였다. 이를 통해 상용 MILP 솔버로 최적 스케줄을 도출했으며, 다양한 초기 돌연변이 조합과 성장률 파라미터에 대해 민감도 분석을 수행했다.

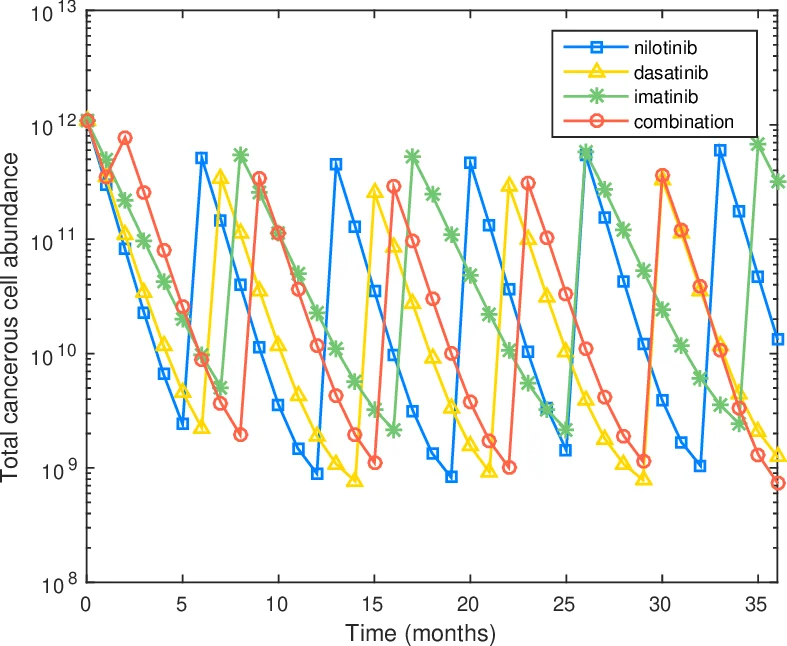
주요 결과는 다음과 같다. (1) 단일 약물 연속 투여보다, 저항성 프로파일에 따라 순차적 교체(예: 초기 닐로티닙 → 중간에 다사티닙 → 말기에 이마티닙) 전략이 백혈병 부하를 현저히 감소시켰다. (2) ANC 제한을 고려하면, 고용량 약물 연속 투여는 금방 중성구 감소를 초래해 휴식이 필요하므로, 약물 교체 주기를 1~2개월 간격으로 조정하는 것이 전체 치료 효율을 높였다. (3) 초기에 저항성 돌연변이 비율이 높은 환자에서는, 저항성에 가장 민감한 약물을 가능한 빨리 투여하고, 이후 남은 돌연변이에 맞는 약물로 전환하는 “맞춤형 순환”이 최적 해로 나타났다.

이 논문은 기존 CML 모델링 연구와 달리, (i) 실제 임상에서 월 단위 복용 결정을 반영한 이산 시간 프레임, (ii) 독성(중성구감소증) 제약을 명시적으로 포함, (iii) 혼합정수 최적화 기법을 활용해 실용적인 치료 스케줄을 제공한다는 점에서 의의가 크다. 또한, 선형 근사와 MILP 변환 과정을 상세히 제시함으로써 다른 혈액암이나 다제제 조합 치료에도 적용 가능한 일반화된 프레임워크를 제시한다. 향후 연구에서는 약물 혈중 농도 PK/PD 모델을 통합하고, 환자별 유전적/임상 데이터 기반의 베이지안 파라미터 추정을 통해 더욱 정밀한 개인 맞춤형 스케줄링이 가능할 것으로 기대된다.


댓글 및 학술 토론

Loading comments...

의견 남기기