세 오류를 교정할 수 있는 컬럼 가중치 3 LDPC 코드

본 논문은 Gallager A 알고리즘을 이용해 이진 대칭 채널(BSC)에서 세 개의 오류를 반드시 복구할 수 있는 컬럼 가중치 3 LDPC 코드의 필요·충분 조건을 제시하고, 해당 조건을 만족하는 코드를 구성하는 방법을 제안한다. 또한 시뮬레이션을 통해 제안된 코드가 기존 설계보다 FER 곡선의 기울기가 더 가파르게 나타남을 확인한다.

저자: Shashi Kiran Chilappagari, Anantha Raman Krishnan, Bane Vasic

세 오류를 교정할 수 있는 컬럼 가중치 3 LDPC 코드
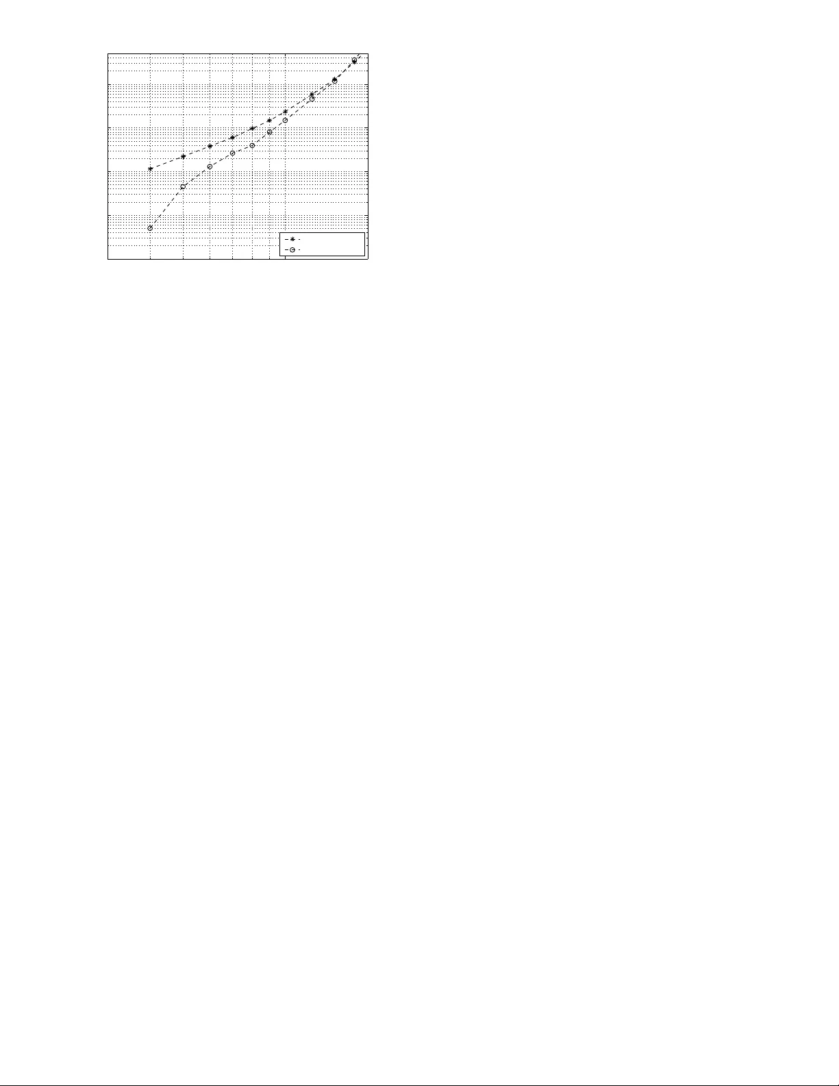
본 논문은 Gallager A 알고리즘을 사용한 이진 대칭 채널(BSC) 환경에서, 컬럼 가중치가 3인 저밀도 패리티 검사(LDPC) 코드가 세 개의 오류를 반드시 복구할 수 있는 조건을 이론적으로 규명하고, 실제 코드 설계 방법을 제시한다. 첫 번째 섹션에서는 LDPC 코드의 그래프 표현, Gallager A와 Gallager B 디코딩 절차, 그리고 디코더의 고정점과 트래핑 세트 개념을 정리한다. 트래핑 세트는 변수 노드 집합 V와 그에 연결된 체크 노드 중 홀수 차수를 가진 C개의 체크 노드로 정의되며, 이러한 구조가 존재하면 디코더가 수렴하지 못하고 오류가 남는다. 특히, (V, C) = (3, 3), (5, 3), (8, 0) 형태의 트래핑 세트가 세 오류에 대해 임계수(critical number) 3을 갖는 것으로 증명된다. 즉, 세 개의 오류가 이들 트래핑 세트에 포함될 경우 디코더는 최소 3번의 반복 후에도 오류를 정정하지 못한다. 두 번째 섹션에서는 이러한 트래핑 세트를 회피하는 것이 세 오류 복구에 필요함을 보이는 정리와, 충분조건을 제시하는 주요 정리를 제시한다. 정리 2는 (3, 3), (5, 3), (8, 0) 트래핑 세트를 그래프에 포함하지 않는 것이 필요조건임을 밝힌다. 정리 3은 더 강력한 충분조건을 제시한다: 그래프의 최소 사이클 길이(girth)가 8 이상이고, (5, 3) 및 (8, 0) 트래핑 세트와 동형인 부분 그래프가 존재하지 않을 경우, Gallager A 디코더는 어떤 세 개의 오류도 3회 이하의 반복 안에 정확히 복구한다. 증명은 세 개의 오류가 만들 수 있는 다섯 종류의 부분 그래프(그림 2)를 각각 분석한다. girth ≥ 8 조건은 6-사이클을 차단해 (3, 3) 트래핑 세트가 발생하지 않게 하며, 나머지 두 트래핑 세트는 체크 노드의 연결 패턴을 제한함으로써 배제된다. 각 경우에 메시지 전파 과정을 단계별로 추적하면, 결국 모든 변수 노드가 올바른 값을 받게 되어 디코딩이 성공함을 보인다. 세 번째 섹션에서는 위의 이론적 조건을 만족하는 코드를 실제로 구성하는 방법을 제시한다. 기존의 Progressive Edge Growth(PEG) 알고리즘을 변형하여, 새로운 변수 노드를 추가할 때마다 해당 변수와 연결될 체크 노드들을 선택할 때 (5, 3) 및 (8, 0) 트래핑 세트가 형성되지 않도록 제약한다. 이 과정은 그래프의 girth를 유지하면서도 트래핑 세트의 발생 가능성을 최소화한다. 결과적으로, 비교적 짧은 길이(수백 비트)에서도 트래핑 세트가 거의 없으며, 시뮬레이션을 통해 FER 곡선이 이론적 기울기 3에 근접함을 확인한다. 시뮬레이션 결과는 제안된 코드가 기존 PEG 기반 코드보다 오류 바닥(error floor) 현상이 현저히 낮고, 낮은 전이 확률 α(= BSC의 비트 오류 확률) 구간에서 FER이 급격히 감소함을 보여준다. 이는 최소 임계수 i + 1과 FER 곡선 기울기 사이의 관계(임계수가 i + 1이면 FER 기울기가 i + 1)와 일치한다. 따라서 트래핑 세트를 최소화하면 고전적인 오류 바닥을 크게 억제할 수 있다. 마지막으로 논문은 컬럼 가중치 3 LDPC 코드에 대해 “girth ≥ 8 + (5, 3)·(8, 0) 트래핑 세트 금지”라는 명확한 설계 규칙을 제시하고, 이를 만족하는 코드를 실용적인 방법으로 생성함으로써, 짧은 길이에서도 세 오류를 확실히 교정할 수 있는 실용적인 설계 지침을 제공한다.

원본 논문

고화질 논문을 불러오는 중입니다...

댓글 및 학술 토론

Loading comments...

의견 남기기