스마트 방송을 위한 온라인 알고리즘 레드퀸

본 논문은 소셜 네트워크에서 사용자가 팔로워 피드 상단에 오래 머무를 수 있도록 최적의 게시 시점을 결정하는 온라인 알고리즘을 제안한다. 피드 동역학을 점 과정으로 모델링하고, 점프 확률 미분 방정식(Jump SDE)을 이용한 최적 제어 문제를 풀어 “가장 최근 게시물의 위치”가 바로 최적 방송 강도임을 밝혀냈다. 이를 기반으로 간단하고 효율적인 샘플링 알고리즘 RedQueen을 설계했으며, 합성·실제 트위터 데이터 실험에서 기존 방법들을 크게…

저자: Ali Zarezade, Utkarsh Upadhyay, Hamid Rabiee

스마트 방송을 위한 온라인 알고리즘 레드퀸
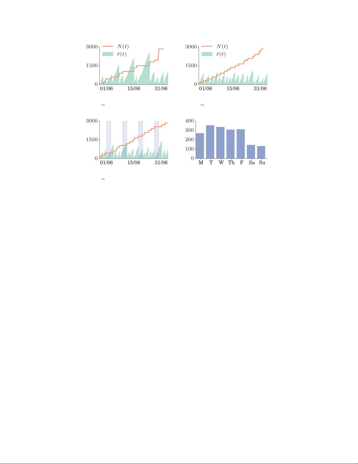
본 논문은 소셜 네트워크 사용자들이 자신의 포스트를 팔로워 피드 상단에 오래 머무르게 함으로써 주목도를 높일 수 있는 최적의 포스팅 시점을 찾는 문제를 다룬다. 기존 연구는 주로 경험적 분석이나 정적인 최적화에 머물렀으나, 이 논문은 점프 확률 미분 방정식(Jump SDE)을 이용한 동적 최적 제어 모델을 제시한다. 먼저 저자들은 소셜 네트워크의 포스팅 및 피드 수신 과정을 시간 점 과정(Temporal Point Process)으로 모델링한다. 각 사용자의 포스팅은 조건부 강도 μ(t) 로 정의된 카운팅 프로세스 N(t) 로, 팔로워가 받는 피드는 다른 사용자의 포스팅 강도 γ(t) 로 구성된 카운팅 프로세스 M(t) 로 표현된다. 이때 강도는 λ(t)=λ₀(t)+α∫₀ᵗ g(t−s)dN(s) 형태를 취해 Hawkes 과정과 Poisson 과정을 모두 포괄한다. 가시성 지표 rᵢⱼ(t)는 팔로워 j의 피드에서 사용자 i의 가장 최근 포스트가 차지하는 순위(위치)로 정의된다. 역시간 순서(가장 최신이 위)라는 가정 하에 rᵢⱼ(t)=Mⱼ\i(t)−Mⱼ\i(τᵢ(t)) 로 표현되며, τᵢ(t)는 i가 마지막으로 포스팅한 시점을 의미한다. 이를 미세 시간 구간 dt 로 전개하면, rᵢⱼ(t)의 변화를 세 가지 경우(다른 사용자의 포스트, i의 포스트, 아무 포스트도 없음)로 나누어 점프 SDE drᵢⱼ(t)=−rᵢⱼ(t)dNᵢ(t)+dMⱼ\i(t) 로 정리한다. 핵심 최적 제어 문제는 일정 시간 구간

원본 논문

고화질 논문을 불러오는 중입니다...

댓글 및 학술 토론

Loading comments...

의견 남기기