하이브리드 디지털 아날로그 코스타와이너지브 코딩

본 논문은 Gaussian 채널에서 송신기 전용 간섭과 수신기 전용 부가정보가 존재할 때, 아날로그 소스를 효율적으로 전송하기 위한 하이브리드 디지털‑아날로그(HDA) 코딩 방식을 제안한다. 기존의 디지털 전용 Costa 및 Wyner‑Ziv 코딩을 무량화(quantization) 없이 결합한 HDA 스킴을 무작위 코딩 기반으로 설계하고, 이를 디지털‑아날로그 슈퍼포지션 형태와 일반화된 형태로 확장한다. 또한 SNR 불일치, 대역폭 압축, 방송…

저자: Makesh Pravin Wilson, Krishna Narayanan, Giuseppe Caire

하이브리드 디지털 아날로그 코스타와이너지브 코딩
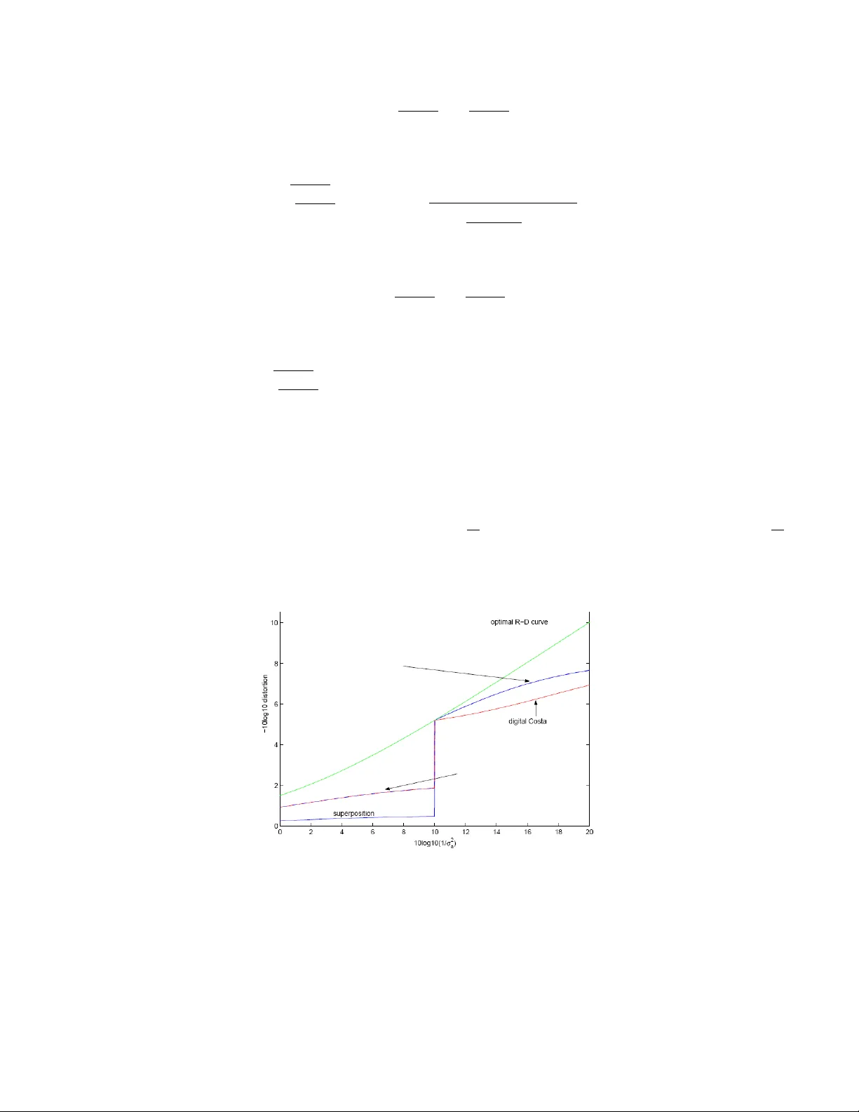
본 논문은 Gaussian 소스와 Gaussian 채널을 전제로, (i) 송신기 전용 간섭(S)과 (ii) 수신기 전용 부가정보(T)가 존재하는 두 경우에 대한 공동 소스‑채널 코딩 문제를 다룬다. 전통적인 접근법은 소스를 먼저 양자화하고, 양자화 인덱스를 Costa 코딩(간섭이 있는 경우) 혹은 Wyner‑Ziv 코딩(부가정보가 있는 경우)으로 전송하는 ‘분리 방식’이다. 이러한 방식은 채널 용량 한계에 도달하면 최적 왜곡 D_opt = σ_v²/(1+P/σ²)를 달성하지만, 설계된 SNR과 실제 SNR이 다를 때 성능 저하가 심각하고, 구현 복잡성(양자화 + binning)이 높다. 논문은 이러한 한계를 극복하기 위해 ‘하이브리드 디지털‑아날로그(HDA) 코딩’이라는 새로운 프레임워크를 제안한다. 핵심 아이디어는 소스 V를 직접 채널 입력 X에 아날로그 형태로 삽입하면서, 동시에 디지털 코드북(보조 변수 U)을 이용해 간섭 S와 채널 잡음 W를 정교히 보정하는 것이다. 1. **HDA Costa 코딩 (간섭 전용)** - 보조 변수 정의: U = X + αS + κV, 여기서 X∼N(0,P), S∼N(0,Q), V∼N(0,σ_v²)이며 서로 독립. - 코드북 생성: 2^{NR₁} 개의 i.i.d Gaussian 코드워드 U를 생성, 각 원소의 분산은 P+α²Q+κ²σ_v². - 인코딩: (s,v)와 공동 전형인 u를 찾고, X = u – αs – κv 로 전송. - 디코딩: y = x + s + w 로부터 u를 복원하고, MMSE 추정 v̂ = κσ_v²/(P–ε)(u – αy) 로 원본을 복원. - 파라미터 선택: α = P/(P+σ²), κ² = P²/(P+σ²)·σ_v² – ε (ε>0 작게). 이때 R₁는 I(U;Y) – ε 로 잡아 인코더·디코더 오류 확률을 0으로 만든다. - 결과: 왜곡 D = σ_v²/(1+P/σ²) + δ(ε) 로, ε→0이면 최적 왜곡에 수렴한다. 2. **HDA Wyner‑Ziv 코딩 (부가정보 전용)** - 구조는 위와 유사하나, 보조 변수에 부가정보 T를 포함한다: U = X + αT + κV. - 인코더는 V와 T를 동시에 고려해 u를 선택하고, 디코더는 Y와 T를 이용해 u를 복원한다. - 동일한 파라미터 선택을 통해 최적 왜곡을 달성한다. 3. **디지털‑아날로그 슈퍼포지션 스킴** - 소스를 레이트 R (< C) 로 양자화하고, 양자화 오차 e를 HDA Costa 코딩으로 전송한다. - 디지털 부분: 양자화 인덱스를 Costa 코딩으로 전송, 전력 P_c = (P+σ²)(1–2^{-2R}). - 아날로그 부분: e를 HDA Costa 코딩으로 전송, 전력 P_hc = P – P_c. - 두 스트림을 합산해 전송하고, 디코더는 먼저 디지털 인덱스를 복원한 뒤, HDA 스트림으로 e를 복원한다. - 전체 왜곡은 D = σ_v²/(1+P/σ²) + δ(ε) 로, R을 자유롭게 바꿀 수 있어 무한히 많은 최적 스킴을 생성한다. 4. **일반화된 HDA 코딩** - 양자화 오차 E를 직접 보조 변수에 포함: U = X + αS + κ₁E. - 코드북 크기를 I(U;Y) 로 설정하고, α, κ₁을 채널 파라미터와 양자화 레이트에 맞게 조정한다. - 이 스킴은 디지털‑아날로그 경계에 위치한 연속적인 스킴 군을 제공한다. 5. **SNR 불일치 분석** - 설계된 SNR(P/σ²)와 실제 채널 SNR이 다를 경우, 디지털 전용 스킴은 급격히 성능이 저하되지만, HDA 스킴은 ‘아날로그 성분’ 덕분에 점진적인 성능 저하만을 보인다. - 특히, 설계 SNR보다 낮은 실제 SNR에서도 왜곡이 D_opt에 근접하도록 유지된다. 6. **대역폭 압축(λ<1) 및 방송 응용** - 대역폭 효율 λ = N/K < 1 인 경우, HDA Costa 코딩을 이용해 소스 차원을 압축하면서도 최적 왜곡을 달성한다. - 두 사용자에게 서로 다른 채널 SNR을 가진 방송 시나리오에서는, 한 사용자에게는 디지털 부분을, 다른 사용자에게는 아날로그 부분을 강조하는 HDA 기반 방송 스킴이 기존 디지털‑아날로그 혼합 스킴보다 넓은 왜곡 영역을 제공한다. 7. **비교 및 구현 논의** - 기존 Kochman‑Zamir의 네스티드 래티스 기반 스킴은 복잡한 격자 설계와 binning이 필요하지만, 본 논문의 무작위 코딩 기반 HDA 스킴은 코드북 생성과 전형 검증만으로 구현이 가능하다. - 또한, HDA 스킴은 ‘양자화 없이 직접 전송’하므로 지연이 적고, 실시간 통신에 유리하다. 결론적으로, 논문은 무작위 코딩 기반 HDA 코딩이 간섭·부가정보가 있는 Gaussian 채널에서 최적 왜곡을 달성할 뿐 아니라, SNR 불일치, 대역폭 제한, 다중 사용자 방송 등 실용적인 제약에서도 유연하고 강인한 성능을 보임을 입증한다.

원본 논문

고화질 논문을 불러오는 중입니다...

댓글 및 학술 토론

Loading comments...

의견 남기기