다중 출처 데이터 통합을 통한 분석 도구 채택 수준 모델링

** 본 논문은 설문조사와 인터뷰라는 두 가지 이질적인 데이터원을 동일한 척도로 변환하고, 증거 기반 다기준 의사결정 기법인 Evidential Reasoning(ER)을 적용해 기업의 분석 도구 채택 수준을 평가·우선순위화하는 6단계 절차를 제시한다. **

저자: Igor Barahona, Judith Cavazos, Jian-Bo Yang

다중 출처 데이터 통합을 통한 분석 도구 채택 수준 모델링
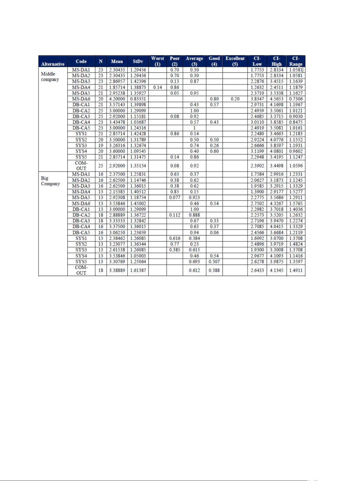
** 본 논문은 “분석 도구 채택 수준”을 정량적으로 평가하기 위한 새로운 방법론을 제시한다. 서론에서는 빅데이터와 디지털 전환이 가속화됨에 따라 전통적인 직관·경험 기반 의사결정이 한계에 봉착했음을 강조하고, 증거 기반 관리(EBMgt)와 예측 분석(predictive analytics)의 중요성을 언급한다. 기존 연구에서 5단계와 3단계 두 가지 척도로 측정된 데이터를 어떻게 하나의 프레임워크로 통합할 것인가가 핵심 문제로 제시된다. 문헌 검토에서는 MCDA의 주요 분류와 대표적 기법들을 정리한다. Weighted Sum Method(WSM), Analytic Hierarchy Process(AHP), ELECTRE, PROMETHEE, TOPSIS 등은 각각의 장단점과 적용 범위가 설명된다. 특히, 다중 기준을 비선형적으로 결합하고 믿음(belief) 구조를 활용할 수 있는 Evidential Reasoning(ER) 방법이 다른 기법과 차별화된 특성을 지니며, 본 연구의 선택 이유로 제시된다. 방법론 파트에서는 6단계 절차를 제시한다. 1) **문제 정의 및 목표 설정** – 분석 도구 채택 수준을 네 가지 기업 유형(대기업, 중소기업 등)별로 평가. 2) **데이터 수집** – 설문조사(20문항 중 17문항, 5점 척도)와 인터뷰(3가지 속성, 3점 척도) 수행, 255개 기업 표본 확보. 3) **데이터 변환** – 설문과 인터뷰 각각을 0‑1 구간의 믿음 값으로 매핑하는 변환 규칙을 정의. 여기서 각 등급에 대한 믿음 정도는 전문가 판단과 통계적 검증(ICC, Cronbach’s α, Kappa) 결과에 기반한다. 4) **가중치 설정** – 네 가지 속성(데이터 기반 경쟁우위, 시스템적 사고, 관리지원, 외부 커뮤니케이션)과 인터뷰 속성(조직 가치, 전술적 특징, 운영적 특징)에 대해 전문가 설문을 통해 상대적 가중치를 산출한다. 5) **Evidential Reasoning 적용** – 각 대안(기업 유형)마다 속성별 믿음 값과 가중치를 곱해 비선형 합성 함수를 적용, 최종 신뢰 구간과 기대값을 도출한다. 이 과정에서 ER의 기본 공식인 belief‑distribution aggregation을 사용한다. 6) **결과 해석 및 우선순위 결정** – 도출된 기대값을 기반으로 네 기업 유형의 채택 수준을 비교·우선순위화하고, 정책·전략적 시사점을 제시한다. 수치 예시에서는 가상의 데이터셋을 이용해 변환 규칙 적용 전후의 값 변화를 보여주고, ER 계산 과정을 단계별로 상세히 설명한다. 결과는 기업 유형별로 채택 수준이 “높음·보통·낮음”으로 구분되며, 특히 조직 가치와 운영적 특징이 채택 수준에 가장 큰 영향을 미치는 것으로 나타난다. 결론에서는 제안된 6단계 프로세스가 다중 출처 데이터를 통합하고, 불확실성을 정량화하는 데 효과적임을 강조한다. 또한, 실무 적용을 위해 소프트웨어 도구(예: ER‑Toolbox)와 자동화된 변환 알고리즘 개발 필요성을 언급한다. 향후 연구 방향으로는 산업별 가중치 차별화, 시간적 변화 추적, 그리고 다른 MCDA 기법과의 비교 분석을 제시한다. **

원본 논문

고화질 논문을 불러오는 중입니다...

댓글 및 학술 토론

Loading comments...

의견 남기기