비중첩 모델 비교를 위한 새로운 통계 방법

본 논문은 천체물리학에서 서로 다른 파라미터 공간을 갖는 비중첩 모델을 비교하기 위한 빈도론적 검정법을 제안한다. 기존의 우도비 검정(LRT)은 모델이 중첩될 때만 적용 가능하므로, 다크 물질 신호와 기존 천체 물리학적 배경을 구분해야 하는 γ‑ray 탐색에 적합하지 않다. 저자들은 두 확률밀도함수를 하나의 과잉 모델에 포함시키고, 혼합 비율 η를 경계값(η=0)에서 검정함으로써 Wilks·Chernoff 정리와 Davies·Gross‑Vite…

저자: Sara Algeri, Jan Conrad, David A. van Dyk

비중첩 모델 비교를 위한 새로운 통계 방법
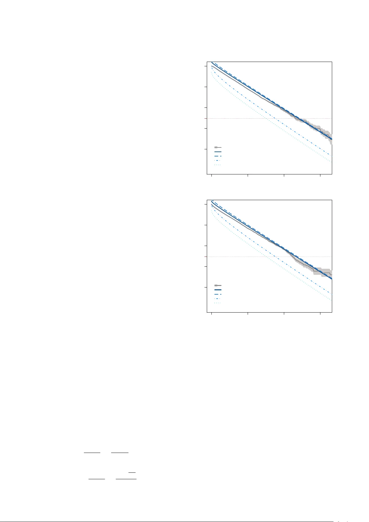
본 논문은 천체물리학에서 흔히 마주치는 비중첩 모델 비교 문제를 해결하기 위한 새로운 빈도론적 검정 방법을 제시한다. 전통적으로 새로운 물리 현상을 탐색할 때는 Likelihood Ratio Test(LRT)와 Wilks 정리를 활용해 검정통계량이 χ² 분포를 따른다고 가정한다. 그러나 이 접근법은 두 모델이 중첩(nested) 관계에 있을 때만 유효하며, 파라미터 공간이 서로 다르거나 하나의 모델이 다른 모델의 특수 경우가 아닐 경우 적용이 불가능하다. 이러한 비중첩 상황은 특히 γ‑ray 천문학에서 다크 물질 신호와 기존 천체 물리학적 배경을 구분해야 할 때 빈번히 발생한다. 저자들은 두 확률밀도함수 f(y,α)와 g(y,β)를 하나의 과잉 모델 (1‑η)f + ηg 로 결합하고, η를 0에서 양수로 이동하는 경계 검정으로 전환한다. H0: η=0 (오직 기존 배경 모델)과 H1: η>0 (배경+다크 물질 신호) 사이의 검정을 수행한다. 이때 η는 0과 1 사이의 연속적인 값으로 허용되며, 실제 물리적 의미는 없지만 통계적 검정에 필요한 매개변수 역할을 한다. 경계 검정에서는 Wilks 정리의 정규성 가정이 깨지므로, Chernoff 정리를 적용한다. Chernoff는 파라미터가 경계에 있을 때 검정통계량이 ½χ²₁ + ½δ(0) 형태의 혼합분포를 따른다고 제시한다. 그러나 β와 같은 추가 파라미터가 H1에만 정의되는 경우, 검정통계량 T(β) 는 β에 대한 연속적인 탐색 과정을 필요로 한다. Gross & Vitells(2010)의 방법을 차용해 supβ T(β) 를 검정통계량으로 정의하고, 그 꼬리 확률을 근사하는 식 (3)을 도출한다. 이 식은 χ²₁ 꼬리 확률에 더해 기대 업크로싱 수 E

원본 논문

고화질 논문을 불러오는 중입니다...

댓글 및 학술 토론

Loading comments...

의견 남기기