비동기 셀룰러 오토마타 기반 이진 패턴 분류기

비동기 셀룰러 오토마타 기반 이진 패턴 분류기
안내: 본 포스트의 한글 요약 및 분석 리포트는 AI 기술을 통해 자동 생성되었습니다. 정보의 정확성을 위해 하단의 [원본 논문 뷰어] 또는 ArXiv 원문을 반드시 참조하시기 바랍니다.

초록

본 논문은 1차원 두 상태·세 이웃 비동기 셀룰러 오토마타(ACA)를 이용해 두 클래스 패턴 분류기를 설계한다. 고정점에 수렴하는 ACA를 선별하고, 고정점 그래프와 수렴 시간 분석을 통해 256개 규칙 중 71개를 후보로 선정한다. 실험 결과, 제안 방법은 기존 다수 알고리즘보다 높은 정확도를 보인다.

상세 분석

본 연구는 비동기 셀룰러 오토마타(ACA)의 고정점(attractor) 특성을 패턴 분류에 활용한다는 점에서 의미가 크다. 먼저 1차원 두 상태·세 이웃 구조의 256가지 로컬 규칙을 전부 조사하여, 임의의 초기 상태에서 반드시 고정점으로 수렴하는 규칙을 이론적으로 판정한다. 이를 위해 저자들은 “고정점 그래프(Fixed Point Graph)”라는 새로운 도구를 도입했는데, 각 고정점의 RMT(룰 미니텀) 시퀀스를 정점으로, 인접 관계를 간선으로 표현함으로써 고정점의 개수를 효율적으로 계산한다. 고정점이 하나뿐인 ACA는 이진 분류에 부적합하고, 고정점이 과다한 경우 메모리 오버헤드가 커지므로, 적절히 2개 이상이면서 지나치게 많지 않은 규칙을 후보로 추린다.

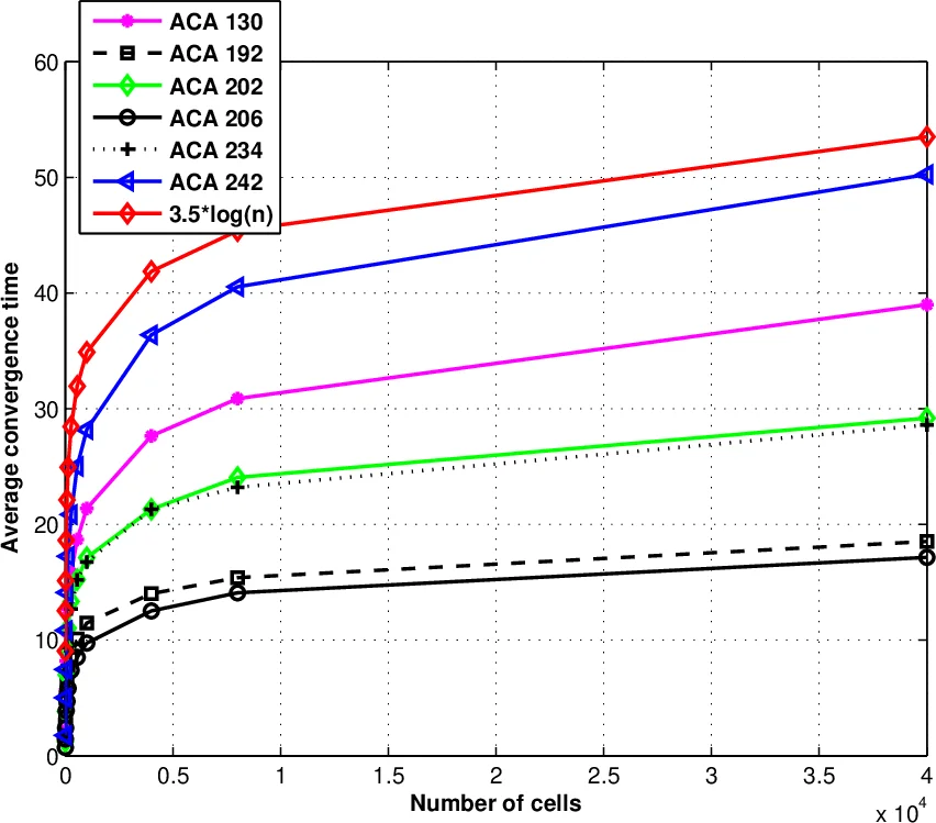
수렴 시간 측면에서는 모든 수렴 ACA가 실용적인 것은 아니다. 저자들은 무작위 비동기 업데이트를 시뮬레이션하여 평균 수렴 스텝을 측정하고, 지수적으로 증가하는 경우를 제외하였다. 이 과정에서 일부 규칙은 평균 수렴 시간이 선형 혹은 로그 수준에 머물러 실제 적용이 가능함을 확인했다. 최종적으로 71개의 규칙이 “수렴성·고정점 수·수렴 시간” 세 가지 기준을 모두 만족하는 후보군으로 선정되었다.

각 후보 ACA를 실제 데이터셋(예: UCI 머신러닝 저장소의 표준 이진 분류 데이터)에 적용해 보았으며, 입력 패턴을 ACA에 로드한 뒤 비동기 업데이트를 진행해 고정점에 도달하면 해당 고정점을 사전에 저장된 클래스 레이블과 매핑한다. 실험 결과, 제안된 ACA 기반 분류기는 정확도, F1 점수 등에서 기존 SVM, 결정 트리, k-NN 등 전통적 알고리즘을 능가하거나 동등한 성능을 보였다. 특히, 업데이트가 완전 비동기적으로 이루어짐에도 불구하고 수렴이 보장되는 특성은 병렬 하드웨어 구현 시 큰 장점으로 작용한다.

이 논문은 ACA의 이론적 특성과 실용적 적용을 연결한 최초의 시도라 할 수 있다. 고정점 그래프라는 분석 도구는 향후 다른 셀룰러 오토마타 기반 문제(예: 최적화, 시뮬레이션)에도 확장 가능성을 제시한다. 다만, 현재는 1차원 이진 규칙에 국한되어 있어 다중 클래스·다중 상태·고차원 구조로의 일반화가 향후 연구 과제로 남는다.


댓글 및 학술 토론

Loading comments...

의견 남기기