MCG 6 30 15의 가변 부분 차폐 모델

MCG 6 30 15의 가변 부분 차폐 모델

초록

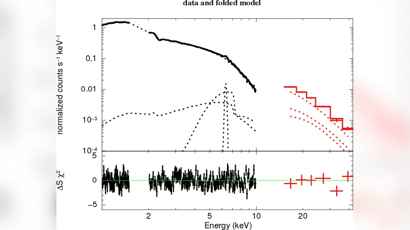
본 논문은 Seyfert 1 은하 MCG‑6‑30‑15의 1–40 keV X‑선 스펙트럼 변화를 부분 차폐 비율의 변화만으로 설명하는 간단한 모델을 제시한다. 모델은 직접 파워‑법선, 강하게 흡수된 파워‑법선, 그리고 원거리 냉각 디스크 반사 성분 세 가지 연속체와 고이온화 얇은 흡수체를 포함한다. 핵심 X‑선 원천은 크게 변하지 않으며, 관측된 변동은 이온화 구름에 의한 부분 차폐 비율이 0에서 약 0.63까지 변함에 따른 것이다.

상세 분석

이 연구는 MCG‑6‑30‑15의 복잡한 스펙트럼을 최소한의 물리적 구성요소로 재현하려는 시도로, 기존의 블랙홀 주변 강한 중력 효과를 강조하는 모델과는 다른 접근법을 취한다. 저자들은 전체 1–40 keV 대역을 세 개의 연속체로 분해한다. 첫 번째는 흡수가 거의 없는 직접 파워‑법선이며, 두 번째는 N_H≈10^24.2 cm⁻², log ξ≈1.6인 주체와 N_H≈10^22.1 cm⁻², log ξ≈1.9인 외피를 가진 다중 구름 구조의 강하게 흡수된 파워‑법선이다. 이 두 성분은 모두 N_H≈10^23.4 cm⁻², log ξ≈3.4인 고이온화 얇은 흡수체에 의해 추가적으로 변조된다. 세 번째는 Ω/2π≈0.3의 중간 정도의 반사각을 가진 원거리 냉각 디스크 반사 성분이며, 좁은 Fe Kα 선을 동반한다. 핵심 X‑선 소스가 공간적으로 확장되어 있어 전체 광도는 크게 변하지 않으며, 관측된 변동은 주로 구름들의 부분 차폐 비율(f_cov)이 0에서 0.63까지 변함에 따른다. 흡수된 성분과 직접 성분은 반대 방향으로 변동하여, 특히 Fe K 에너지 대역에서 전체 변동 폭이 최소가 되는 현상을 자연스럽게 재현한다. 이는 기존에 “넓은 Fe K 라인”으로 해석되던 구조가 실제로는 강하게 흡수된 성분의 Fe K‑엣지에 의해 만들어진 가짜 라인이라는 중요한 해석을 제공한다. 또한, 이 모델은 부분 차폐 구름이 다중 이온화 구역을 갖는 복합 구조임을 제시함으로써, 고해상도 X‑선 분광기에서 관측되는 복잡한 흡수 라인들의 기원에 대한 일관된 설명을 가능하게 한다. 전체적으로, 변동을 부분 차폐 비율의 변화로만 설명함으로써, 복잡한 시간‑에너지 변동성을 간단히 파악할 수 있는 강력한 프레임워크를 제공한다.