머신러닝으로 밀도 함수 찾기

본 논문은 1차원 비상호작용 페르미온 시스템의 운동에너지 함수를 머신러닝(KRR)으로 근사하고, 100개 이하의 학습 밀도로도 1 kcal/mol 이하의 평균 절대 오차를 달성한다. 주성분 분석을 이용해 함수 미분을 투영함으로써 자체 일관적인 밀도도 높은 정확도로 얻는다.

저자: John C. Snyder, Matthias Rupp, Katja Hansen

머신러닝으로 밀도 함수 찾기
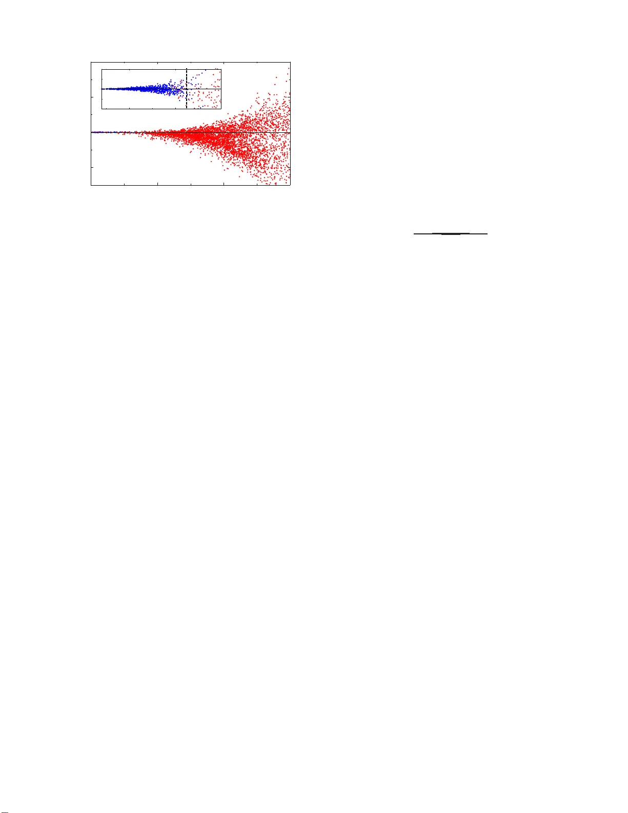
본 논문은 머신러닝(ML)을 이용해 밀도 함수 이론(DFT)에서 핵심적인 함수인 비상호작용 전자들의 운동에너지(KE) 함수를 근사하는 새로운 방법론을 제시한다. 연구의 출발점은 현재 DFT에서 가장 큰 불확실성 원인인 교환‑상관(XC) 에너지와 비상호작용 KE를 어떻게 정확히 표현하느냐에 있다. 전통적인 접근법은 물리적 직관에 기반한 형태를 가정하고 소수의 파라미터를 피팅하는 반면, ML은 고차원 데이터에서 패턴을 자동으로 학습한다는 장점을 갖는다. 연구 대상은 1차원 박스(0≤x≤1) 안에 N(1~4)개의 비상호작용 스핀 없는 페르미온을 배치하고, 외부 퍼텐셜 v(x)를 세 개의 가우시안 딥을 선형 결합한 형태(v(x)=−∑_{i=1}^3 a_i exp

원본 논문

고화질 논문을 불러오는 중입니다...

댓글 및 학술 토론

Loading comments...

의견 남기기