극지대 안테라스 PILOT 로 보는 먼 우주의 비밀

극지대 안테라스 PILOT 로 보는 먼 우주의 비밀

초록

PILOT은 남극 돔 C에 설치될 2.5 m 광·적외선 망원경으로, 뛰어난 대기 투명도와 안정된 대기 흐름을 활용해 고감도·고정밀·넓은 시야·고해상도·고주기 관측이 가능하다. 본 논문은 이러한 특성을 바탕으로 초기 별 형성 탐지, 고‑z 은하 탐색, 중간‑z 은하단 조사, 대규모 약력 렌즈 조사 및 적외선 초신성 광도곡선 측정을 통한 암흑 에너지·암흑 물질 연구 등 다섯 가지 핵심 과학 프로그램을 제안한다.

상세 분석

PILOT은 남극 고원인 돔 C(고도 3 200 m)의 독특한 기상 조건을 최대한 활용하도록 설계되었다. 이곳은 연간 평균 대기 투명도가 매우 높고, 수증기 함량이 0.1 g m⁻³ 이하로 적외선 배경이 현저히 낮다. 또한 대기 난류가 얕아 0.2–0.3 arcsec 수준의 지속적인 ‘프리시전 시잉(seeing)’을 제공한다. 이러한 환경은 2.5 m 구경의 광학계가 적외선(1–5 µm)과 광학(0.4–0.9 µm) 대역에서 지구 평균 관측소 대비 5배 이상 높은 감도와 2배 이상의 공간 해상도를 달성하게 한다.

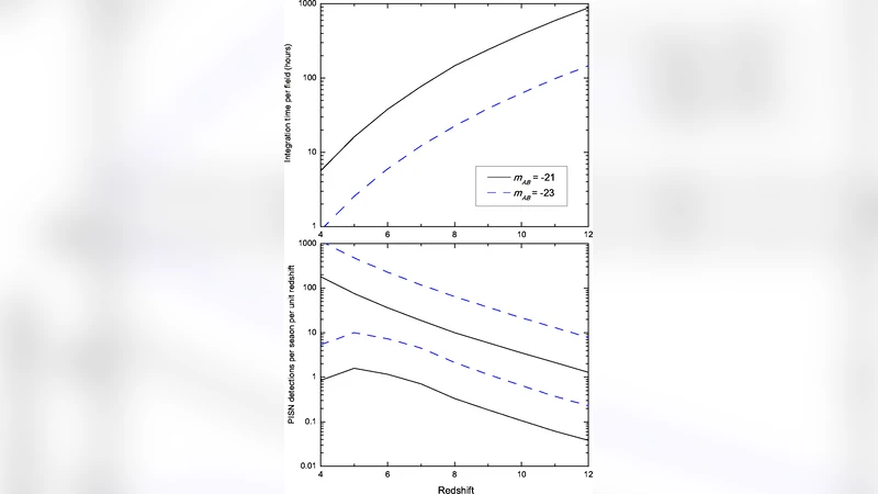
광학·적외선 동시 관측이 가능한 넓은 시야(≥1 deg²)와 고주기(분~시간 단위) 촬영 능력은 시간 가변 현상 탐지에 최적이다. 예를 들어, 초기 우주에서 발생한 ‘쌍불안정 초신성(pair‑instability supernova, PISN)’은 적외선에서 절대 등급 –21 ~ –23에 해당하며, z ≈ 10 ~ 15에서도 24 mag 수준으로 검출 가능하다. PILOT의 적외선 카메라는 5σ ≈ 25 mag(1 h 통합) 감도를 제공하므로, 이러한 초신성을 대규모 ‘스냅샷’ 서베이로 탐색할 수 있다.

동시에, 장거리 감마선 폭발(GRB) 잔광은 초단파에서 광학·적외선까지 광범위한 스펙트럼을 갖는다. 돔 C의 낮은 대기 흡수와 연속적인 관측 가능 시간(극야 기간) 덕분에, GRB 발생 직후 수분 내에 적외선 후광을 포착해 적색편이 z > 10인 최초 별 형성 구역을 추적할 수 있다.

고‑z 은하 탐색은 ‘Lyman‑break’ 기술과 적외선 색‑색 선택법을 결합한다. PILOT은 J‑band(1.25 µm)와 K‑band(2.2 µm)에서 깊이 26 mag 수준까지 도달할 수 있어, z ≈ 7 ~ 9의 ‘성숙 은하’를 대규모(수천 제곱도) 서베이로 식별한다. 이는 JWST가 수행할 깊이·소규모 조사와는 달리, 통계적 은하 형성·진화 모델을 검증할 수 있는 샘플을 제공한다.

중간‑z(0.3 < z < 0.8) 은하단 조사는 광학 필터(g′, r′, i′)를 이용해 적색편이와 은하군집의 색‑색 관계를 측정한다. PILOT의 0.2 arcsec 해상도는 은하단 중심부의 은하 밀도와 형태를 정밀하게 구분하게 하며, 군집 질량 추정에 필요한 ‘광학 풍선’ 기법을 고정밀도로 적용한다.

대규모 약력 렌즈(weak‑lensing) 서베이는 5 000 deg² 이상을 목표로, 0.3 arcsec 이하의 PSF를 유지하면서 은하 형태 변형을 측정한다. 이는 현재 진행 중인 LSST와 Euclid의 관측과 보완적으로, 남극 특유의 낮은 대기 광학 얽힘으로 인해 시스템atics가 크게 감소한다. 결과적으로, 물질 밀도 Ω_m와 암흑 에너지 방정식 파라미터 w에 대한 제약을 1 % 이하 수준으로 향상시킬 수 있다.

마지막으로, 적외선 초신성(SN Ia) 광도곡선 측정은 ‘표준 촛불’의 색‑색 보정에 필수적이다. 적외선 대역에서의 SN Ia는 먼지 소멸 효과가 최소화되어, 암흑 에너지 진화 추적에 더 정확한 거리 지표를 제공한다. PILOT은 연간 200 ~ 300개의 SN Ia를 0.5 < z < 1.5 범위에서 적외선(1–2 µm)으로 연속 관측해, 현재 초신성 기반 우주론의 시스템오차를 크게 감소시킬 수 있다.

전반적으로, PILOT은 남극 고지대의 독보적인 대기 환경을 활용해, 대형 우주망원경과 지상 대형 서베이의 장점을 결합한 ‘고감도·고해상도·고주기’ 관측 플랫폼을 제공한다. 이는 초기 별·은하 형성, 은하단 진화, 약력 렌즈, 초신성 표준화 등 현대 우주론의 핵심 질문에 대한 새로운 실증적 답을 제시할 잠재력을 가진다.