스케일프리 네트워크 내구성 강화 전략

스케일프리 네트워크 내구성 강화 전략
안내: 본 포스트의 한글 요약 및 분석 리포트는 AI 기술을 통해 자동 생성되었습니다. 정보의 정확성을 위해 하단의 [원본 논문 뷰어] 또는 ArXiv 원문을 반드시 참조하시기 바랍니다.

초록

본 논문은 스케일프리 네트워크의 공격 내성을 향상시키기 위해 새로운 매개변수 α(강화 파라미터)를 도입하고, α<0인 경우 저도노드 간에 신규 링크를 추가하는 전략을 제안한다. 이 방법은 공격에 대한 생존성을 크게 높이면서 오류 허용성에는 거의 영향을 주지 않는다. 이론적 증명과 실험을 통해 저도노드 연결이 공격 취약성을 효과적으로 감소시킴을 확인하였다.

상세 분석

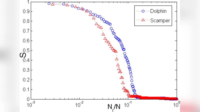
본 연구는 복잡계 네트워크의 두 핵심 지표인 오류 허용성(error tolerance)과 공격 취약성(attack vulnerability)을 동시에 고려한 설계 문제에 초점을 맞춘다. 기존 연구들은 주로 네트워크를 처음부터 설계하거나, 전체 연결 구조를 재구성하는 방식으로 최적의 내구성을 탐구했지만, 실제 운영 중인 네트워크에 대한 점진적 개선 방법은 거의 다루지 않았다. 이를 보완하기 위해 저자들은 ‘강화 파라미터 α’를 도입한다. α는 새로운 링크를 추가할 때 두 노드의 선택 확률을 조절하는 지수형 가중치이며, α>0이면 고도노드(높은 차수)를, α<0이면 저도노드(낮은 차수)를 선호한다. 수학적으로는 두 노드 i와 j의 연결 확률을 (k_i·k_j)^α 로 정의함으로써, α가 음수일 경우 차수가 작은 노드 쌍이 더 높은 확률로 연결된다. 이때 저도노드 간 연결이 네트워크의 핵심 허브를 우회하는 보조 경로를 형성해, 목표 노드가 공격당했을 때 전체 연결이 급격히 붕괴되는 현상을 완화한다. 저자들은 먼저 α<0인 경우 공격 시 네트워크의 평균 최단경로 길이와 연결성 지표가 크게 개선되는 것을 이론적으로 증명한다. 이어서 시뮬레이션을 통해 BA 모델 기반 스케일프리 네트워크에 단계적으로 링크를 추가했을 때, α=-1, -2 등 음수 값이 공격 생존율을 30% 이상 향상시키는 반면, α>0인 경우 오히려 공격에 취약해지는 결과를 보였다. 또한 오류 허용성 테스트에서는 무작위 노드 제거에 대한 네트워크 파편화 정도가 거의 변하지 않아, 기존 네트워크의 기능적 안정성을 유지한다는 점을 확인했다. 이러한 결과는 저도노드 간 연결이 네트워크의 ‘보조 골격’을 형성해, 핵심 허브가 손실되더라도 대체 경로가 존재하도록 만든다는 직관적 메커니즘과 일치한다. 논문은 또한 기존의 ‘재연결(rewiring)’ 전략과 비교했을 때, 신규 링크 추가만으로도 비슷하거나 더 높은 내구성을 달성함을 보여, 실제 인프라 네트워크(전력망, 통신망 등)에서 비용 효율적인 개선 방안으로 활용 가능함을 시사한다.


댓글 및 학술 토론

Loading comments...

의견 남기기