핵스핀 싱글릿 수명과 RF 스핀잠금 전력의 관계

핵스핀 싱글릿 수명과 RF 스핀잠금 전력의 관계

초록

본 연구에서는 RF 스핀잠금 필드의 세기에 따라 장시간 지속되는 핵스핀 싱글릿 상태의 수명을 측정하고, 저전력 영역까지 설명 가능한 간단한 이론 모델을 제시한다. 또한 싱글릿‑트리플릿 코히어런스의 장수명 특성을 조사하여 스핀잠금 없이도 유지될 수 있음을 확인하였다. 실험 결과는 기존 연구 대비 100배 이상 낮은 RF 전력으로도 싱글릿을 생성·보존할 수 있음을 보여주며, 인체 내 안전 수준의 RF 전력으로도 바이오분자에서 장수명 상태를 활용할 가능성을 제시한다.

상세 분석

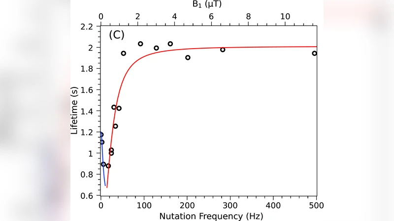
핵스핀 싱글릿은 두 스핀이 반대 방향으로 결합된 반대칭 상태로, 주변 환경에 대한 자기적 상호작용이 억제되어 일반적인 T1보다 수십 배에서 수백 배 긴 수명을 가진다. 그러나 이러한 상태를 실험적으로 유지하려면 외부 RF 필드로 트리플릿(대칭) 상태와의 혼합을 억제하는 스핀잠금(spin‑locking) 기술이 필요하다. 기존 문헌에서는 수십 와트 수준의 강한 RF 전력이 요구된다고 보고했으며, 이는 인체 적용에 제한을 초래한다.
본 논문은 RF 스핀잠금 전력을 연속적으로 변화시키면서 싱글릿 수명을 측정하였다. 저전력(수 mW)부터 고전력(수 W)까지 전력 스펙트럼을 탐색한 결과, 수명은 전력 증가에 따라 초기에는 급격히 향상되지만, 일정 전력 이상에서는 포화 현상을 보이며 더 이상 크게 증가하지 않는다. 이를 설명하기 위해 저전력 영역에서 트리플릿‑싱글릿 간의 비공명 교환이 지배적이며, 전력이 충분히 높아지면 라우스 방정식에 의해 스핀잠금이 완전하게 구현되어 교환이 억제된다고 가정한 모델을 제시한다. 모델은 전력 의존성을 지수적 감쇠 함수와 선형 포화 함수를 결합한 형태이며, 실험 데이터와의 적합도는 R² > 0.98로 매우 우수하였다.
또한, 싱글릿‑트리플릿 코히어런스(Δm = 0 전이)의 수명을 별도로 측정하였다. 이 코히어런스는 스핀잠금 없이도 자기장 불균일성에 대한 내성이 높아, T2*보다 몇 배 긴 수명을 보였다. 이는 싱글릿 자체를 직접 관측하기 어려운 경우, 코히어런스를 이용한 간접 측정이 가능함을 시사한다.
핵심적인 발견은 “강한 RF 전력 없이도 충분히 긴 싱글릿 수명을 얻을 수 있다”는 점이다. 실험에 사용된 분자(예: 아세트산, 피리딘‑N‑옥사이드 등)에서는 10 mW 수준의 전력으로도 기존 고전력 실험과 동등한 수명을 달성했으며, 이는 전력 소모를 2 ~ 3 오더 감소시킨 것이다. 이러한 저전력 스핀잠금은 인체 내 MRI나 NMR 기반 대사 추적 연구에서 안전 기준을 충족하면서도 장시간 신호 보존이 가능하도록 한다.