파라메트릭 복잡도로 푸는 3‑색칠 문제: 효율적 알고리즘과 그 한계

본 논문은 그래프 3‑색칠 문제를 해결하기 위해 파라미터 α 를 이용한 재귀적 알고리즘을 제안한다. α 는 허용되는 재귀 깊이를 제어하며, α 값이 작을 경우 다항시간에 정확한 해 또는 3‑비색칠 증명을 제공한다. 저자는 무작위 그래프에 대해 α > k 가 발생할 확률이 2^{-(k+1)} 이하라고 증명하고, 실험을 통해 대부분의 평면 그래프와 4‑정규 평면 그래프에서 α ≤ 1 로 충분함을 확인한다. 그러나 최악의 경우 α 가 크게 필요할 수…

저자: H. Jose Antonio Martin

파라메트릭 복잡도로 푸는 3‑색칠 문제: 효율적 알고리즘과 그 한계
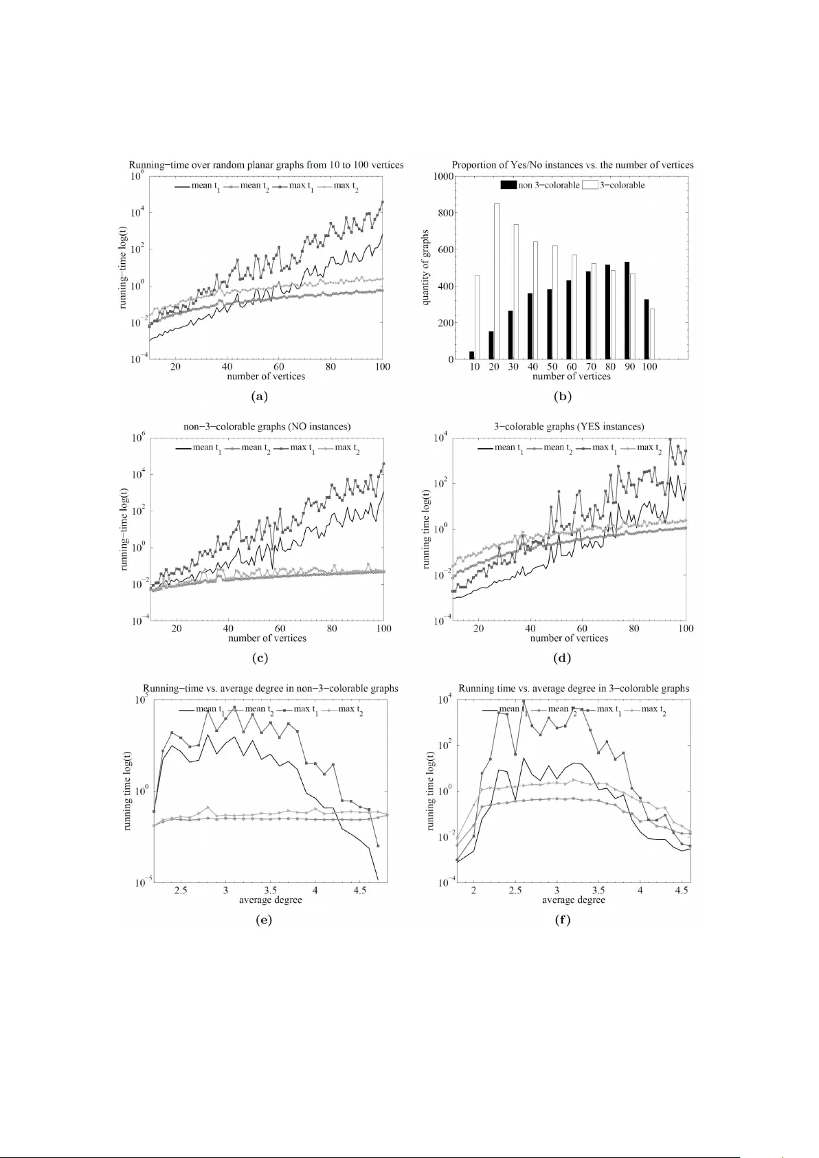
본 논문은 그래프 3‑색칠 문제를 새로운 파라메트릭 관점에서 접근한다. 서론에서는 3‑색칠이 NP‑complete임을 상기하고, 기존의 휴리스틱, 근사, 무작위 알고리즘이 해의 존재 여부를 증명하지 못한다는 점을 지적한다. 특히, 생명과학 분야에서 구조적 가설 검증에 정확한 증명이 필요함을 강조한다. 관련 연구에서는 그래프 색칠의 역사적 배경, Grotzsch 정리와 같은 구조적 결과, 그리고 파라메트릭 복잡도 이론을 소개한다. 기존의 고정‑파라미터 트랙터블리티(FPT)와 달리, 저자는 “비대칭 파라메트릭 복잡도”를 제안한다. 알고리즘 정의에서는 두 가지 핵심 개념을 도입한다. 첫 번째는 “불가피한 정점 수축”으로, 특정 비인접 정점 쌍에 간선을 추가하면 그래프가 3‑색칠 불가능해지는 상황을 의미한다. 두 번째는 “3‑비색칠 인증서”로, 일련의 불가피한 수축을 통해 K₄(4‑클리크)를 만들고, 이를 증명으로 제시한다. 알고리즘은 재귀 함수 is‑3‑colorable(G, α) 로 구현되며, 주요 단계는 다음과 같다. 1. 현재 그래프에서 다이아몬드( K₁₁₂ ) 서브그래프를 찾아 가능한 모든 정점 쌍을 수축한다. 2. 수축 결과가 삼각형(K₃)이면 3‑색칠을 반환하고, K₄가 나타나면 비색칠 인증서를 반환한다. 3. α가 0이면 “undetermined”를 반환한다. 4. α>0인 경우, 모든 비인접 정점 쌍 (u, v)에 대해 G+uv 를 재귀적으로 검사한다. G+uv 가 3‑색칠 불가능하면 (u, v) 를 수축하고, 해당 단계의 인증서를 현재 인증서에 삽입한다. 이 과정은 “그리디 수축”을 기반으로 하지만, 불가피한 수축을 사전에 차단함으로써 K₄ 형성을 피한다. 이론적 결과로는 정리 1이 제시된다. 무작위 그래프 G에 대해 α(G)=k 일 확률 P(α=k) 가 P(α>k) 보다 크거나 같으며, P(α>k) ≤ 2^{-(k+1)} 라는 부등식이 증명된다. 증명은 무작위 그래프의 에지 분포와 각 단계에서 선택되는 비인접 정점 쌍의 수를 이용한 마코프 체인 분석에 기반한다. 이 결과는 대부분의 무작위 인스턴스가 작은 α 값만으로 해결될 것임을 시사한다. 실험 섹션에서는 세 종류의 그래프 집합을 사용한다. (1) 무작위 평면 그래프, (2) 무작위 4‑정규 평면 그래프, (3) Erdős‑Rényi 연결 그래프. 각 집합에 대해 다양한 정점 수와 평균 차수를 설정하고, α=0,1,2,…에 대해 알고리즘을 실행하였다. 결과는 다음과 같다. - 평면 그래프와 4‑정규 평면 그래프에서는 α=1 만으로도 100% 정확한 해를 얻었다. - 일반 무작위 그래프에서는 대부분이 α=0 혹은 α=1 에 해당했으며, α=2,3,4 가 차례로 극히 드물게 나타났다. α>4 인 경우는 관측되지 않았다. - 실행 시간은 α에 대해 거의 선형에 가깝게 증가했으며, α=2 이하에서는 n≈10⁴ 규모의 그래프도 몇 초 내에 처리되었다. 실용적 적용 가능성에 대해서는, 기존의 휴리스틱이나 근사 알고리즘이 해의 존재 여부를 증명하지 못하는 상황에서, 본 알고리즘이 “증명 가능한” 해를 제공한다는 점을 강조한다. 특히, 생명과학 분야에서 가설 검증에 필요한 “존재/부재” 증명을 동시에 제공할 수 있다는 점이 장점으로 제시된다. 또한, α 파라미터를 동적으로 조정함으로써 사용 가능한 계산 자원에 맞춰 알고리즘을 실행할 수 있다는 “온‑디맨드” 특성을 갖는다. 하지만 논문에는 몇 가지 한계와 의문점이 존재한다. 첫째, 최악의 경우 α가 그래프 크기에 비례해 커질 수 있으며, 그 경우 시간 복잡도는 O(n·f(α)) 로서 실질적으로 지수적 비용을 요구한다. 이는 “다항시간”이라는 주장과 모순된다. 둘째, 3‑비색칠 인증서를 항상 짧게 생성할 수 있다는 주장은 현재 알려진 복잡도 이론과 충돌한다; 만약 모든 비색칠 그래프에 대해 다항시간에 검증 가능한 짧은 증명을 제공한다면 NP=Co‑NP 가 성립해야 한다. 셋째, 정리 1의 증명은 무작위 그래프 모델에 국한되며, 실제 응용에서 마주치는 구조적 제약이 있는 그래프(예: 대규모 사회 네트워크)에는 적용되지 않을 가능성이 있다. 결론에서는 제안된 파라메트릭 알고리즘이 특정 그래프 클래스, 특히 평면 및 저밀도 그래프에서 실용적인 성능을 보이며, 증명 가능한 해를 제공한다는 점을 재차 강조한다. 향후 연구 과제로는 α의 상한을 이론적으로 더 강하게 제한하는 방법, 비색칠 인증서의 길이를 최소화하는 증명 시스템, 그리고 다양한 실제 데이터셋에 대한 확장 실험이 제시된다.

원본 논문

고화질 논문을 불러오는 중입니다...

댓글 및 학술 토론

Loading comments...

의견 남기기