네트워크 앙상블 무편향 샘플링 방법

네트워크 앙상블 무편향 샘플링 방법
안내: 본 포스트의 한글 요약 및 분석 리포트는 AI 기술을 통해 자동 생성되었습니다. 정보의 정확성을 위해 하단의 [원본 논문 뷰어] 또는 ArXiv 원문을 반드시 참조하시기 바랍니다.

초록

본 논문은 네트워크의 구조적 제약을 ‘소프트’ 형태로 구현한 최대 엔트로피 분포를 이용해, 강한 이질성을 가진 실제 네트워크에서도 편향 없이 효율적으로 무작위 그래프를 생성하는 “Max & Sam”(Maximize and Sample) 방법을 제안한다. 이 방법은 이진·가중 네트워크 모두에 적용 가능하며, 기존 마이크로캐노니컬 기법이 갖는 편향·연산량 문제를 극복한다. 또한 제약의 변동성을 분석해 마이크로와 캐노니컬 앙상블이 동등하지 않음을 보이고, 실제 데이터에 대한 적용 사례와 구현 코드를 제공한다.

상세 분석

본 연구는 네트워크 분석에서 필수적인 ‘null model’ 구축을 위해 두 가지 전통적 접근법, 즉 마이크로캐노니컬(제약을 정확히 만족)과 캐노니컬(제약을 평균적으로 만족) 방법의 한계를 명확히 짚는다. 마이크로캐노니컬 방식은 스텁 매칭, 로컬 리와이어링(LRA) 등으로 구현되지만, 고이질성(예: 파워‑law 차수 분포)에서는 다중 엣지·자기루프 발생, 샘플링 편향, 그리고 혼합 시간에 대한 이론적 보장이 결여되는 문제가 있다. 특히 LRA는 제약을 정확히 유지하면서도 균일 샘플링을 보장하려면 복잡한 수용 확률을 매 단계마다 재계산해야 하므로 실용성이 떨어진다. 반면 기존 캐노니컬 접근은 최대 엔트로피 원리를 이용해 엣지 존재 확률 p_{ij}를 구하지만, 실제로는 p_{ij}=k_i k_j/2L 등 근사식에 의존해 정확한 확률분포를 제공하지 못한다. 이러한 근사는 복잡한 제약(예: 방향성, 강도, 상호성)을 포함한 경우에 특히 부정확하다.

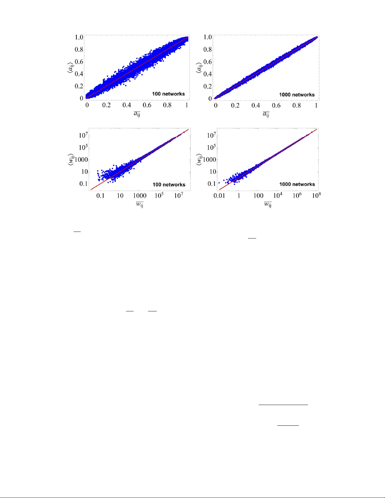
논문은 이러한 문제를 해결하기 위해 ‘Max & Sam’ 프레임워크를 제시한다. 먼저 관측된 제약(차수, 강도, 상호성 등)을 입력으로 하여 라그랑주 승수(숨은 변수)를 최대 엔트로피 최적화 문제에 적용한다. 이 과정에서 각 엣지(또는 가중 엣지)의 존재 확률을 정확히 계산할 수 있으며, 이는 독립적인 베르누이 변수들의 곱으로 표현된다. 따라서 샘플링 단계에서는 각 엣지를 독립적으로 Bernoulli(p_{ij}) 혹은 포아송(λ_{ij}) 분포에 따라 생성하면 되므로, 복잡한 의존 관계를 일일이 고려할 필요가 없고 O(N^2) 이하의 시간 복잡도로 대규모 네트워크에도 적용 가능하다.

핵심적인 이론적 기여는 다음과 같다. 첫째, 제약의 ‘소프트’ 구현을 통해 엔트로피가 최대가 되는 정확한 확률분포를 도출함으로써 편향을 원천 차단한다. 둘째, 이 확률분포는 차수·강도·상호성 등 복합 제약을 동시에 포함할 수 있어 기존 방법이 다루지 못하던 네트워크 유형(예: 방향성·가중·상호성 복합)에도 적용 가능하다. 셋째, 각 제약의 변동성(분산)을 정밀히 계산함으로써 마이크로와 캐노니컬 앙상블이 동등하지 않음을 증명한다. 이는 특히 제약이 강하게 제한되는 경우(예: 고차원 차수 분포)에는 캐노니컬 샘플이 실제 마이크로캐노니컬 샘플과 통계적으로 차이를 보인다는 중요한 통찰을 제공한다.

실험에서는 여러 실제 네트워크(사회·생물·경제 등)를 대상으로 Max & Sam을 적용하고, 기존 마이크로캐노니컬 알고리즘과 비교해 샘플링 시간, 편향 정도, 구조적 상관(예: 클러스터링, 모듈러리티) 등을 정량적으로 평가한다. 결과는 Max & Sam이 평균적으로 1~2 orders of magnitude 빠르면서도, 기대값과 분산이 정확히 일치하는 무편향 샘플을 제공함을 보여준다. 또한, 제약 변동성을 이용해 특정 네트워크에서 마이크로와 캐노니컬 앙상블이 실제로 다른 통계적 특성을 갖는 사례를 제시한다.

마지막으로 논문은 파이썬 기반 구현 코드를 공개하여, 연구자들이 손쉽게 다양한 제약을 가진 네트워크 앙상블을 생성하고, 기존 분석 파이프라인에 통합할 수 있도록 지원한다.


댓글 및 학술 토론

Loading comments...

의견 남기기