감정이 브랜드 전파에 미치는 영향: 구글+ 산업별 분석

감정이 브랜드 전파에 미치는 영향: 구글+ 산업별 분석
안내: 본 포스트의 한글 요약 및 분석 리포트는 AI 기술을 통해 자동 생성되었습니다. 정보의 정확성을 위해 하단의 [원본 논문 뷰어] 또는 ArXiv 원문을 반드시 참조하시기 바랍니다.

초록

본 연구는 구글+에 게시된 30,000여 개의 브랜드 메시지를 대상으로 감정(긍정·부정 및 6가지 기본 감정)과 리쉐어 수 사이의 관계를 포아송 회귀와 다층 혼합효과 모델로 분석한다. 긍정적 어조는 전반적으로 리쉐어를 촉진하지만, 각 산업별로 감정 효과는 크게 다르며, 예를 들어 자동차 산업에서는 분노가, 스포츠 산업에서는 혐오가 전파를 강화한다는 결과를 도출한다.

상세 분석

본 논문은 감정이 온라인 워드오브마우스(Word‑of‑Mouth) 전파에 미치는 메커니즘을 실증적으로 검증하고자 구글+에서 156개 브랜드(의류, 자동차, 화장품, 전자, 식음료, 스포츠, 기타)와 총 32,409개의 포스트를 수집하였다. 감정 분석에는 Naïve Bayes 기반의 ‘sentiment’ 패키지를 활용해 긍정‑부정 비율(polarity)과 Anger, Disgust, Fear, Joy, Sadness, Surprise의 6가지 기본 감정을 추출하였다.

첫 단계에서는 포아송 회귀(GLM)를 사용해 리쉐어 수(r)를 설명 변수(polarity, emotions)와 통제 변수(message length, time of day, comments, +1s)로 모델링하였다. 모델 비교는 AIC와 우도비 검정(Likelihood Ratio Test)으로 수행했으며, 감정 변수 추가 시 모델 적합도가 현저히 개선됨을 확인했다(모델 m4의 AIC = 786,504.72, p < 2·10⁻¹⁶). 이는 감정이 리쉐어 발생 확률에 통계적으로 유의미한 영향을 미친다는 초기 가설을 뒷받침한다.

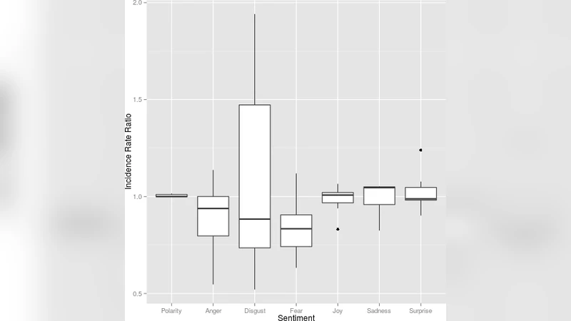
다음으로 산업별 차이를 포착하기 위해 브랜드와 산업을 랜덤 효과로 지정한 다층 혼합효과 모델을 구축하였다. 고정 효과는 앞서 사용한 베이스 모델(m4)과 동일하게 유지하면서, 각 감정에 대해 랜덤 슬로프를 허용하였다. 결과는 Table 3에 제시된 바와 같이 감정 효과의 이질성이 산업마다 크게 다름을 보여준다. 예를 들어, ‘Anger’는 자동차 산업에서 1.14배(표준편차 σ = 0.28)로 긍정적인 전파 효과를 보였으나, 전자산업에서는 0.55배(σ = 0.28)로 오히려 억제적인 역할을 한다. ‘Disgust’는 스포츠 산업에서 1.94배 상승, 반면 ‘Other’ 카테고리에서는 0.52배 감소하는 등, 감정‑산업 상호작용이 복합적임을 확인했다.

또한, ‘Polarity’ 자체는 대부분의 산업에서 1.00~1.02 수준으로 거의 동일하게 작용했으며, 이는 긍정적 어조가 기본적인 전파 촉진 요인임을 재확인한다. 반면, ‘Joy’, ‘Surprise’와 같은 고각성 감정은 전반적으로 약한 효과를 보였지만, 화장품 산업에서는 ‘Joy’가 1.02배, ‘Surprise’가 1.08배로 약간의 상승을 나타냈다.

통계적 해석 외에도 연구자는 데이터 수집 과정에서 브랜드 선정 기준(.com 도메인, 최소 +1 수 250 이상)과 구글+ API 제한(팔로워 수 고정 가정) 등을 명시하여 결과의 외적 타당성을 평가하였다. 한계점으로는 감정 사전 기반 Naïve Bayes 분류기의 정확도 제한, 구글+ 사용자 특성(플랫폼 폐쇄성) 및 시간 경과에 따른 팔로워 변동을 고려하지 못한 점을 들었다.

종합하면, 감정은 온라인 브랜드 메시지 전파에 핵심적인 역할을 하지만, 그 효과는 산업별 문화·소비자 기대치에 따라 크게 달라진다. 마케터는 단순히 ‘고각성 감정’만을 강조하기보다, 목표 산업의 감정 반응 프로파일을 사전에 분석하여 맞춤형 콘텐츠 전략을 수립해야 함을 시사한다.


댓글 및 학술 토론

Loading comments...

의견 남기기