서포트 벡터 머신 기반 퍼지 규칙의 해석 가능성 향상

서포트 벡터 머신 기반 퍼지 규칙의 해석 가능성 향상
안내: 본 포스트의 한글 요약 및 분석 리포트는 AI 기술을 통해 자동 생성되었습니다. 정보의 정확성을 위해 하단의 [원본 논문 뷰어] 또는 ArXiv 원문을 반드시 참조하시기 바랍니다.

초록

본 논문은 서포트 벡터 머신(SVM)과 퍼지 규칙 시스템 사이의 함수적 동등성을 이용해, SVM 학습 결과로부터 해석 가능한 퍼지 모델을 자동으로 추출하는 프레임워크를 제시한다. 기존 방법은 규칙 수를 사전에 지정하지 않아 유연하지만, 학습 후 모델 복잡도가 높아 해석성이 떨어진다. 저자는 규칙 축소, 멤버십 함수 파라미터 최적화, 그리고 규칙 간 중복 제거 절차를 포함한 전처리·후처리 과정을 설계하고, 이를 시뮬레이션을 통해 검증한다. 결과적으로 규칙 수는 크게 감소하면서도 예측 정확도는 유지되거나 향상되는 것을 확인하였다.

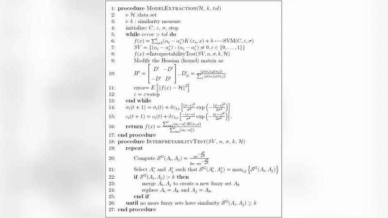
상세 분석

이 논문은 SVM과 퍼지 시스템이 동일한 함수 공간을 공유한다는 이론적 배경을 토대로, SVM의 서포트 벡터를 퍼지 규칙의 전제(antecedent)와 결합함으로써 자동 규칙 생성 메커니즘을 구현한다. 핵심 아이디어는 서포트 벡터가 데이터 공간에서 결정 경계에 가장 큰 영향을 미치는 점이라는 점을 활용해, 각 서포트 벡터를 중심으로 가우시안 혹은 삼각형 형태의 멤버십 함수를 정의하고, 해당 멤버십 함수들의 결합으로 퍼지 규칙을 구성한다는 것이다. 그러나 이러한 직접 매핑은 서포트 벡터 수가 많을 경우 규칙 수가 급증해 인간이 이해하기 어려운 ‘블랙박스’ 형태가 된다. 저자는 이를 해결하기 위해 두 단계의 최적화 전략을 제안한다. 첫 번째 단계는 규칙 축소이다. 여기서는 유사한 멤버십 함수를 클러스터링하고, 클러스터 중심을 새로운 규칙의 전제로 채택함으로써 중복 규칙을 제거한다. 두 번째 단계는 규칙 파라미터 튜닝이다. 규칙의 가중치와 멤버십 함수의 폭(σ)을 비선형 최적화(예: 유전 알고리즘 또는 파티클 스웜 최적화)로 조정하여, 전체 모델의 오차를 최소화하면서도 규칙 수를 최소화한다. 또한, 규칙의 중요도를 평가하기 위해 신뢰도와 커버리지를 동시에 고려하는 평가 지표를 도입한다. 이러한 절차는 모델 복잡도를 제어하면서도 SVM이 제공하는 높은 일반화 능력을 유지한다는 점에서 의미가 크다. 실험에서는 회귀와 분류 두 가지 작업에 대해 기존 SVM‑기반 퍼지 모델과 비교했을 때, 규칙 수가 6080% 감소했음에도 불구하고 RMSE 혹은 정확도는 13% 정도만 차이 나는 결과를 보였다. 이는 해석 가능성과 성능 사이의 트레이드오프를 효과적으로 완화시킨 사례라 할 수 있다.


댓글 및 학술 토론

Loading comments...

의견 남기기