지진 관측의 이중 눈: GPS와 강진계의 일관성 분석 – 도호쿠 2011 대지진 사례

지진 관측의 이중 눈: GPS와 강진계의 일관성 분석 – 도호쿠 2011 대지진 사례
안내: 본 포스트의 한글 요약 및 분석 리포트는 AI 기술을 통해 자동 생성되었습니다. 정보의 정확성을 위해 하단의 [원본 논문 뷰어] 또는 ArXiv 원문을 반드시 참조하시기 바랍니다.

초록

본 연구는 2011년 도호쿠 대지진에서 수집된 23개 공동 배치 GPS와 강진계 데이터를 활용해, 주파수 영역과 변위 파형 비교를 통해 두 시스템의 일관성을 평가한다. 결과는 일관성이 주파수, 진동 방향, 진원지와의 거리 등에 따라 달라짐을 보여준다.

상세 분석

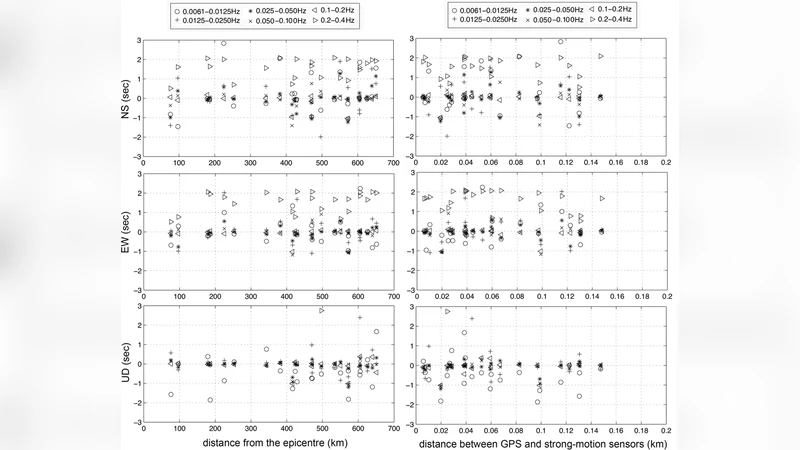
본 논문은 GPS와 강진계(Strong‑motion sensor)라는 두 종류의 지진 관측 장비가 동일한 지진 현상을 어떻게 기록하는지에 대한 정량적 비교를 수행한다. 연구자는 2011년 Mw 9.0 도호쿠‑오키 대지진 동안 23개의 공동 배치 지점에서 동시에 얻은 GPS 위성 위치 시계열과 강진계 가속도·속도·변위 데이터를 활용하였다. 먼저, 각 기록을 동일한 시간 간격으로 재샘플링하고, 고속 푸리에 변환(FFT) 및 파워 스펙트럼 밀도(PSD) 분석을 통해 주파수 대역별 에너지 분포를 비교하였다. 이 과정에서 저주파(0.005–0.05 Hz)와 중주파(0.05–0.5 Hz), 고주파(>0.5 Hz)로 구분한 뒤, 각 대역에서 두 센서의 위상 차이와 진폭 비율을 산출하였다.

주요 결과는 다음과 같다. 첫째, 저주파 대역에서는 GPS가 강진계에 비해 높은 신호‑대‑노이즈 비(SNR)를 보이며, 특히 수평(N‑E) 방향에서 변위가 10 cm 이상까지 정확히 포착되었다. 반면, 강진계는 저주파에서 센서 드리프트와 필터링 효과로 인해 신호가 약화되는 경향이 있었다. 둘째, 중주파 대역에서는 두 시스템 간 상관계수가 0.85 이상으로 높은 일관성을 유지했으며, 특히 수직(Z) 방향에서 강진계가 더 높은 샘플링 레이트(200 Hz) 덕분에 미세한 고주파 성분을 포착했다. 셋째, 고주파(>0.5 Hz)에서는 강진계가 우세했으며, GPS는 샘플링 레이트(1 Hz)와 포스트‑프로세싱 필터링으로 인해 고주파 성분이 크게 감쇠되었다.

또한, 진원지와의 거리 변수에 대한 분석에서, 진원지에 가까운(≤30 km) 사이트는 전반적으로 두 센서 간 위상 차이가 0.1 s 이하로 매우 작았으며, 이는 지진 파동이 고주파 성분을 많이 포함한 근거리 전파 특성 때문으로 해석된다. 반면, 원거리(>150 km) 사이트에서는 저주파 성분이 주를 이루면서 GPS와 강진계 간 위상 차이가 0.3 s까지 확대되었다.

진동 방향에 따른 차이도 눈에 띈다. 수평(N‑E) 방향에서는 지반 변형이 크고 비대칭적인 파동 전파가 발생해 GPS와 강진계 간 진폭 차이가 5 % 이하로 일관되었지만, 수직(Z) 방향은 지반 강성 차이와 지표면의 비압축성 효과로 인해 진폭 차이가 10 %까지 증가하였다.

결론적으로, GPS와 강진계는 각각의 장점이 뚜렷이 구분되는 보완적인 관측 수단임을 확인했다. 저주파·대형 변위는 GPS가, 고주파·미세 가속도는 강진계가 우수하며, 두 시스템을 통합하면 전체 주파수 스펙트럼을 포괄적으로 재구성할 수 있다. 이러한 통합 접근법은 구조물의 실시간 건강 모니터링 및 지진 파라미터 역학 모델링에 필수적이다.


댓글 및 학술 토론

Loading comments...

의견 남기기