NIRS 기반 뇌‑컴퓨터 인터페이스를 이용한 촉각 장치 제어를 통한 뇌졸중 재활 연구
본 논문은 근접 적외선 분광(NIRS) 기반 BCI를 활용해 좌·우 방향 움직임을 명령하는 촉각 장치를 제어함으로써 뇌졸중 환자의 재활을 돕는 과업 지향형 시스템을 제안한다. 순수 운동 상상(MI)과 운동 상상‑동작 관찰 결합(AOMI) 두 가지 정신 과업을 비교하고, 채널 로컬라이제이션·PCA 기반 특징 추출·다중 SVM 다수결 분류기를 적용해 오프라인·온라인 실험에서 높은 분류 정확도를 달성하였다.
저자: Berdakh Abibullaev, Jinung An, Seung-Hyun Lee
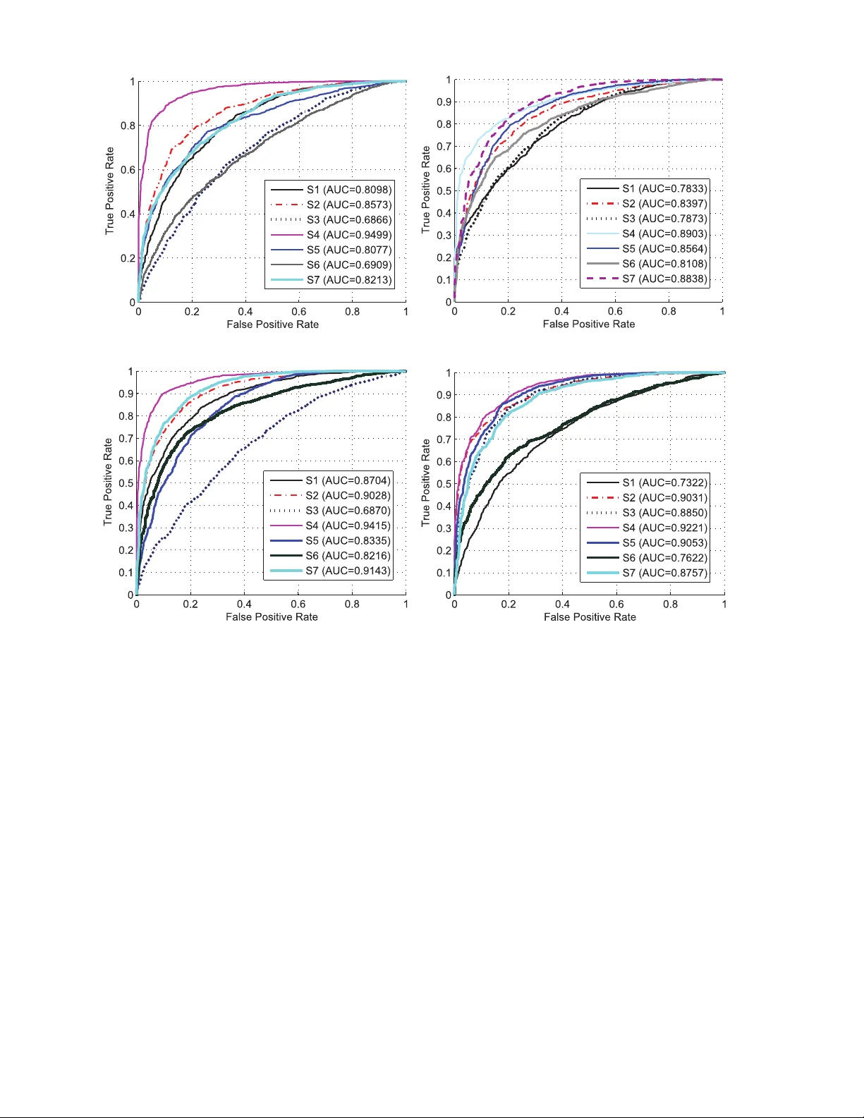
본 논문은 뇌졸중 환자의 재활을 목표로, 근접 적외선 분광(NIRS) 기반 뇌‑컴퓨터 인터페이스(BCI)를 이용해 촉각 장치를 좌우로 움직이는 과업 지향형 시스템을 설계·검증하였다. 연구는 크게 데이터 수집, 신호 전처리·특징 추출, 분류·제어, 그리고 오프라인·온라인 실험 평가 네 단계로 구성된다.
**1. 데이터 수집**
- 실험에 사용된 NIRS 장비는 45채널(발광·수신 광섬유)으로 구성된 FOIRE‑3000 시스템이며, 780 nm, 805 nm, 830 nm 파장의 빛을 이용해 산소화 헤모글로빈(oxy‑Hb)과 탈산소화 헤모글로빈(deoxy‑Hb) 농도를 측정한다.
- 피험자는 7명의 건강한 오른손잡이 남성(연령 28 ± 4 세)이며, 각 피험자는 5회 세션을 7명에게서 총 35세션을 수행하였다.
- 각 세션은 Rest‑Task‑Rest 구조의 3블록으로 이루어졌으며, 과업은 t_right(우측 가상 움직임 상상), t_left(좌측 가상 움직임 상상), t_rest(휴식)으로 정의하였다.
- 두 종류의 과업 프로토콜을 적용하였다. 첫 번째는 순수 운동 상상(MI)만을 사용하고, 두 번째는 동작 관찰(AO) 후 운동 상상(MI)을 결합한 AOMI 프로토콜이다. AO 단계에서는 피험자가 화면에 표시된 팔 움직임 영상을 시청한다.
**2. 신호 전처리·특징 추출**
- 원시 NIRS 신호는 저주파(0.01–0.2 Hz) 대역에 주로 존재하므로, 배경 잡음(기기·생리학적 잡음)을 감소시키기 위해 주성분 분석(PCA)을 적용하였다. PCA는 데이터 분산을 최대화하는 정규 직교 벡터를 찾아 차원을 k(
원본 논문
고화질 논문을 불러오는 중입니다...
댓글 및 학술 토론
Loading comments...
의견 남기기