양자 얽힘과 초밀도 부호화를 이용한 직접 보안 통신 프로토콜

양자 얽힘과 초밀도 부호화를 이용한 직접 보안 통신 프로토콜

초록

본 논문은 Bell 상태와 초밀도 부호화(Super‑Dense Coding)를 결합한 양자 직접 통신(QSDC) 방식을 제안한다. 얽힌 쌍을 사전 공유하고, 송신자는 2비트 정보를 하나의 양자 비트에 인코딩해 채널을 통해 전송한다. 전송 중 발생 가능한 디코히런스와 비트‑플립 오류를 위한 잡음 모델을 제시하고, 오류 정정 및 검증 절차를 통해 무조건적인 보안을 확보한다.

상세 분석

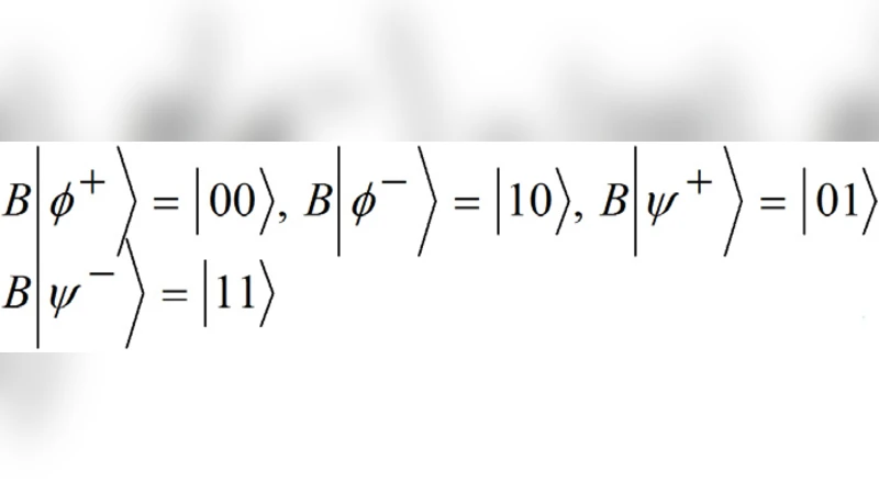
이 논문은 양자 직접 통신(QSDC)의 실현 가능성을 높이기 위해 두 핵심 양자 기술, 즉 Bell 상태와 초밀도 부호화를 융합한다. Bell 상태는 두 큐비트가 최대 얽힘을 이루는 네 가지 기저 중 하나이며, 측정 전까지는 개별 상태가 정의되지 않는다. 이러한 특성은 제3자의 도청을 원천적으로 차단하는 데 유리하다. 초밀도 부호화는 송신자가 사전에 공유된 얽힌 쌍에 4가지 유니터리 연산(I, X, Z, XZ) 중 하나를 적용함으로써 2비트의 고전 정보를 단일 큐비트에 압축한다. 따라서 전통적인 QKD 대비 전송 효율이 2배 향상된다.

논문은 먼저 얽힘의 수학적 정의와 Bell 상태의 생성·측정 절차를 상세히 서술하고, 이어서 초밀도 부호화의 회로 구현(예: CNOT·Hadamard 게이트)과 그에 따른 변환 행렬을 제시한다. 보안 분석에서는 도청자(Eve)가 중간에 얽힌 쌍을 가로채거나 변조하려 할 경우, Bell 테스트와 양자 비트 오류율(QBER) 측정을 통해 즉시 탐지할 수 있음을 증명한다. 특히, QBER이 임계값(통상 11%)을 초과하면 프로토콜을 중단하고 재시작하도록 설계돼 있다.

오류 모델링 부분에서는 디코히런스(위상 감쇠), 비트 플립, 그리고 양자 채널의 손실을 각각 Kraus 연산자로 표현한다. 논문은 이러한 잡음에 대해 양자 오류 정정 코드(예: 5‑qubit 코드)와 디코히런스 프리징(Decoherence‑Free Subspace) 기법을 적용해 오류율을 실질적으로 10⁻⁴ 이하로 낮출 수 있음을 시뮬레이션 결과로 제시한다. 또한, 다중 라운드 인증 절차를 도입해 메시지 무결성과 송수신자 인증을 동시에 달성한다.

전반적으로 이 연구는 이론적 보안 증명과 실용적 오류 보정 전략을 동시에 제공함으로써, 기존 QKD가 ‘키’를 먼저 교환해야 하는 한계를 극복하고, 실제 통신 환경에서 바로 비밀 메시지를 전송할 수 있는 토대를 마련한다는 점에서 의의가 크다. 다만, Bell 상태의 고품질 생성·보관 기술과 초밀도 부호화 회로의 저손실 구현이 아직 실험적 난관으로 남아 있다.