세포 상호작용으로 그려지는 발달의 에피제네틱 풍경

세포 상호작용으로 그려지는 발달의 에피제네틱 풍경
안내: 본 포스트의 한글 요약 및 분석 리포트는 AI 기술을 통해 자동 생성되었습니다. 정보의 정확성을 위해 하단의 [원본 논문 뷰어] 또는 ArXiv 원문을 반드시 참조하시기 바랍니다.

초록

본 논문은 세포 간 상호작용 네트워크가 에피제네틱 풍경을 자체적으로 형성한다는 최소 모델을 제시한다. 초기 발달 단계에서는 에너지 지형이 얕고 거칠어 세포가 변동에 민감한 ‘줄기세포’ 상태를 보이며, 이후 단계에서는 깔때기형 지형으로 전환돼 분화가 안정화되고 관통성(canalization)이 나타난다. 모델은 유전자 발현 조절을 상호작용과 환경으로 재정의하고, 시간 순서에 따라 테스트 세포를 삽입함으로써 분화의 가역성과 안정성을 검증한다.

상세 분석

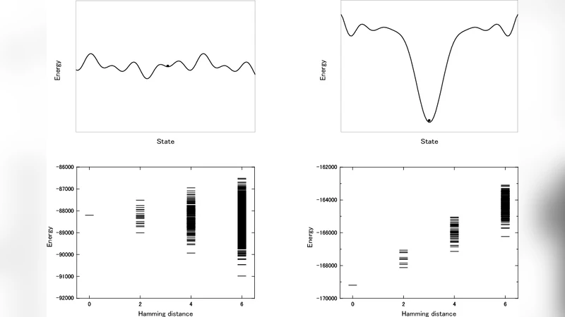
이 연구는 발달생물학에서 오래된 개념인 ‘에피제네틱 풍경(epigenetic landscape)’을 물리학적 모델링으로 재구성한다는 점에서 혁신적이다. 저자들은 세포를 입자라 보고, 세포 간 상호작용을 포텐셜 에너지 함수로 매핑한다. 여기서 핵심은 유전자 발현 조절을 직접적인 변수로 다루지 않고, ‘상호작용 강도’와 ‘환경 파라미터’라는 두 개의 유효 변수에 흡수(renormalization)한다는 가정이다. 이는 복잡한 유전자 네트워크를 단순화하면서도, 실제 생물학적 시스템이 주변 세포와의 물리적·화학적 신호에 크게 의존한다는 사실을 반영한다.

모델은 초기 단계에서 에너지 지형이 낮은 장벽과 작은 진폭을 가진 ‘rugged’ 형태를 보인다. 이때 시스템은 열적·노이즈 플럭투에 민감해 다수의 메타스테이블 상태가 존재하고, 이는 실험적으로 관찰되는 다능성 줄기세포의 불확정성을 설명한다. 시간 진행에 따라 상호작용 파라미터가 변화하면서 지형은 점차 ‘funnel‑like’ 구조로 수렴한다. 이 구조는 Waddington의 ‘canalization’ 개념과 일치하며, 세포가 특정 방향으로 흐르는 흐름을 갖게 된다.

또한 저자들은 시뮬레이션 도중 임의의 ‘테스트 세포’를 삽입해 기존의 시간 흐름에 끼어들게 함으로써, 분화 경로의 가역성(rewinding)과 안정성(stability)을 정량적으로 평가한다. 테스트 세포가 초기 ‘rugged’ 단계에 삽입되면 주변 환경에 의해 다시 줄기세포 상태로 회귀하지만, ‘funnel’ 단계에 삽입될 경우 기존 경로에 쉽게 동화되어 분화가 유지된다. 이는 실제 조직 재생이나 암세포 탈분화 현상을 모델링하는 데 유용한 통찰을 제공한다.

모델의 한계로는 세포 내부의 복합적인 신호전달 경로와 전사인자 네트워크를 완전히 배제했다는 점이다. 또한, 상호작용 파라미터의 시간 의존성을 어떻게 설정했는가에 따라 결과가 크게 달라질 수 있어, 실험적 데이터와의 정량적 매핑이 필요하다. 그럼에도 불구하고, 최소 모델임에도 불구하고 발달 과정의 전반적인 흐름을 재현하고, 에피제네틱 풍경을 물리적 에너지 지형으로 해석하는 틀을 제공한다는 점에서 학제간 연구에 큰 기여를 한다.


댓글 및 학술 토론

Loading comments...

의견 남기기