섬유 매트릭스 계면 파손 및 전파를 위한 선형 탄성 취성 인터페이스 모델 적용

섬유 매트릭스 계면 파손 및 전파를 위한 선형 탄성 취성 인터페이스 모델 적용
안내: 본 포스트의 한글 요약 및 분석 리포트는 AI 기술을 통해 자동 생성되었습니다. 정보의 정확성을 위해 하단의 [원본 논문 뷰어] 또는 ArXiv 원문을 반드시 참조하시기 바랍니다.

초록

본 논문은 원통형 섬유가 매트릭스에 매립된 복합재에서 원격 이중축 횡하중에 의해 발생하는 섬유‑매트릭스 계면의 균열 시작과 전파를 선형 탄성‑취성 인터페이스 모델(LEBIM)로 분석한다. 연속 스프링 분포와 마찰 없는 탄성 접촉을 도입해 정상·전단 변위를 연결하고, 파괴 전단·정규 강도는 파괴 모드 혼합각에 따라 변하는 에너지 방출률 기반 파괴 기준을 적용한다. 해석은 2차원 경계요소법(BEM)과 Gao의 해석식으로 검증했으며, 계면 파손은 최초 임계점에서 유한한 디본드가 형성된 뒤 혼합 모드로 전파됨을 확인한다.

상세 분석

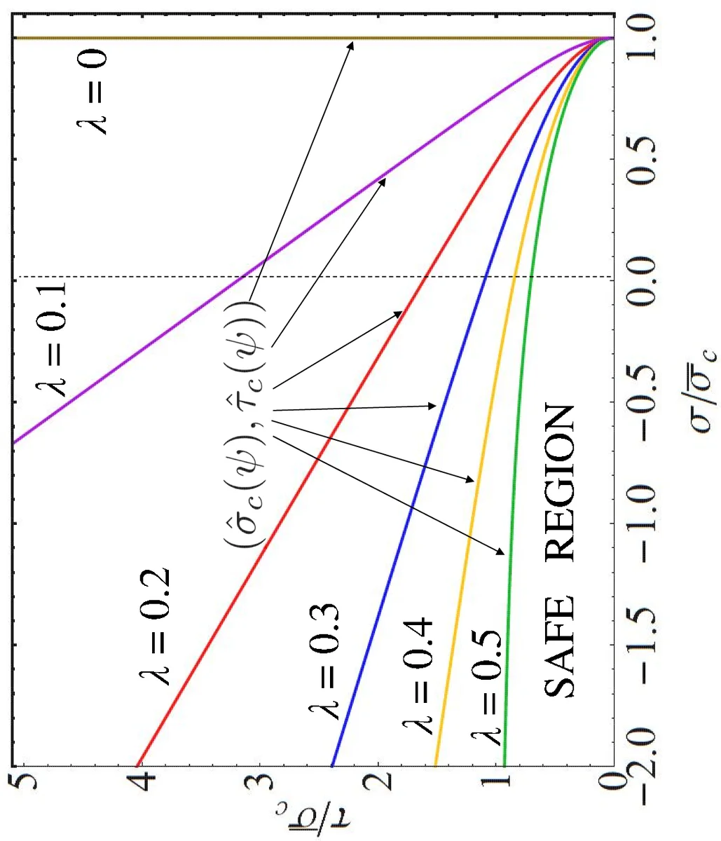
본 연구는 기존의 선형 탄성 인터페이스 모델에 취성 파괴 기준을 결합한 LEBIM을 제안한다. 인터페이스를 두께가 거의 없는 연속 스프링층으로 가정하고, 정상 강성(k_n)과 전단 강성(k_t)을 각각 탄성 계수와 얇은 층 두께 h에 의해 정의한다. 파괴 전에는 스프링이 선형 탄성 거동을 보이며, 파괴가 일어난 영역에서는 마찰 없는 탄성 접촉을 가정해 정상 변위가 압축될 경우에도 k_n을 유지하되 전단 응력은 0이 된다. 파괴 기준은 에너지 방출률 G = G_I + G_II 형태로 설정하고, G_I = σ·δ_n·h/2, G_II = τ·δ_t 로 정의한다. 여기서 σ와 τ는 각각 정상·전단 트랙션이며, δ_n, δ_t는 상대 변위이다. 파괴 모드 혼합각 ψ는 G_I와 G_II의 비율에 의해 결정되며, ψ에 따라 임계 정상·전단 응력(σ_c, τ_c)과 변위(δ_nc, δ_tc)가 변한다. 이러한 ψ‑의존성을 반영하기 위해 λ(0≤λ≤1)와 γ(취성 번호)라는 두 개의 무차원 파라미터를 도입한다. λ은 파괴 모드에 대한 민감도를, γ는 파괴 전후 강성 감소 정도를 조절한다.

분석 대상는 원통형 섬유(반경 a)를 무한 매트릭스에 매립하고, 원격 이중축 횡하중을 적용한 평면 응력 상태이다. 원격 응력은 σ_∞x와 σ_∞y로 표현되며, 이들의 비율을 나타내는 biaxiality 파라미터 χ = (σ_∞x+σ_∞y)/(2·max{|σ_∞x|,|σ_∞y|})를 사용한다. Gao의 해석식(선형 탄성 인터페이스가 무손상일 때의 해석 해)과 결합해, 특정 χ와 인터페이스 파라미터(ξ=k_t/k_n, λ, γ) 하에서 임계 트랙션과 변위가 언제, 어느 각도 θ₀에서 최초 파괴가 일어나는지를 해석적으로 도출한다.

수치 해석은 2D 경계요소법(BEM)으로 구현했으며, 순차 선형 분석(sequentially linear analysis, SLA)을 적용해 파괴 진행을 단계별로 시뮬레이션한다. 결과는 다음과 같다. (1) 파괴는 최초 임계점에서 유한한 디본드(θ_d) 형태로 시작되며, 이는 θ₀와 거의 일치한다. (2) 디본드가 형성된 후에는 혼합 모드 전파가 진행되며, 경우에 따라 파괴 팁이 압축 영역에 위치해도 전단 응력이 충분하면 전파가 지속된다. (3) λ가 작을수록(모드 의존성이 강할수록) 파괴 각도가 크게 변하고, χ가 양(인장)일 때는 인장‑전단 혼합 모드가, χ가 음(압축)일 때는 전단‑압축 혼합 모드가 지배한다. (4) ξ가 0.25 정도인 경우, 전단 강성이 정상 강성의 25% 수준으로 설정되며, 이는 실제 섬유‑매트릭스 계면에서 흔히 관찰되는 비율과 일치한다.

이러한 분석을 통해 LEBIM이 복합재 섬유‑매트릭스 계면 파손을 예측하는 데 필요한 최소한의 파라미터(¯G_Ic, ¯σ_c, ξ, λ)만으로도 충분히 정확한 결과를 제공함을 확인했다. 또한, 해석적 예측값과 BEM 시뮬레이션 결과가 매우 높은 일치도를 보였으며, 이는 모델의 계산 효율성과 신뢰성을 입증한다.


댓글 및 학술 토론

Loading comments...

의견 남기기