유전자 집합 풍부도 분석을 위한 경험적 베이즈 LFDR 추정

본 논문은 유전자 발현 연구에서 발견된 유전자 집합이 특정 Gene Ontology(GO) 카테고리와 과다 혹은 과소 표현되는지를 판단하기 위해, 지역 거짓 발견률(LFDR)을 추정하는 세 가지 방법—반파라메트릭 추정기(SPE), 정규화 최대우도 추정기(NMLE), 그리고 최대우도 추정기(MLE)—를 비교한다. 실험과 시뮬레이션 결과, 카테고리 수가 약 100개 정도일 때는 MLE가 가장 안정적이며, 10개 정도일 때는 SPE가, 1~2개 정도…

저자: Zhenyu Yang, Zuojing Li, David R. Bickel

유전자 집합 풍부도 분석을 위한 경험적 베이즈 LFDR 추정
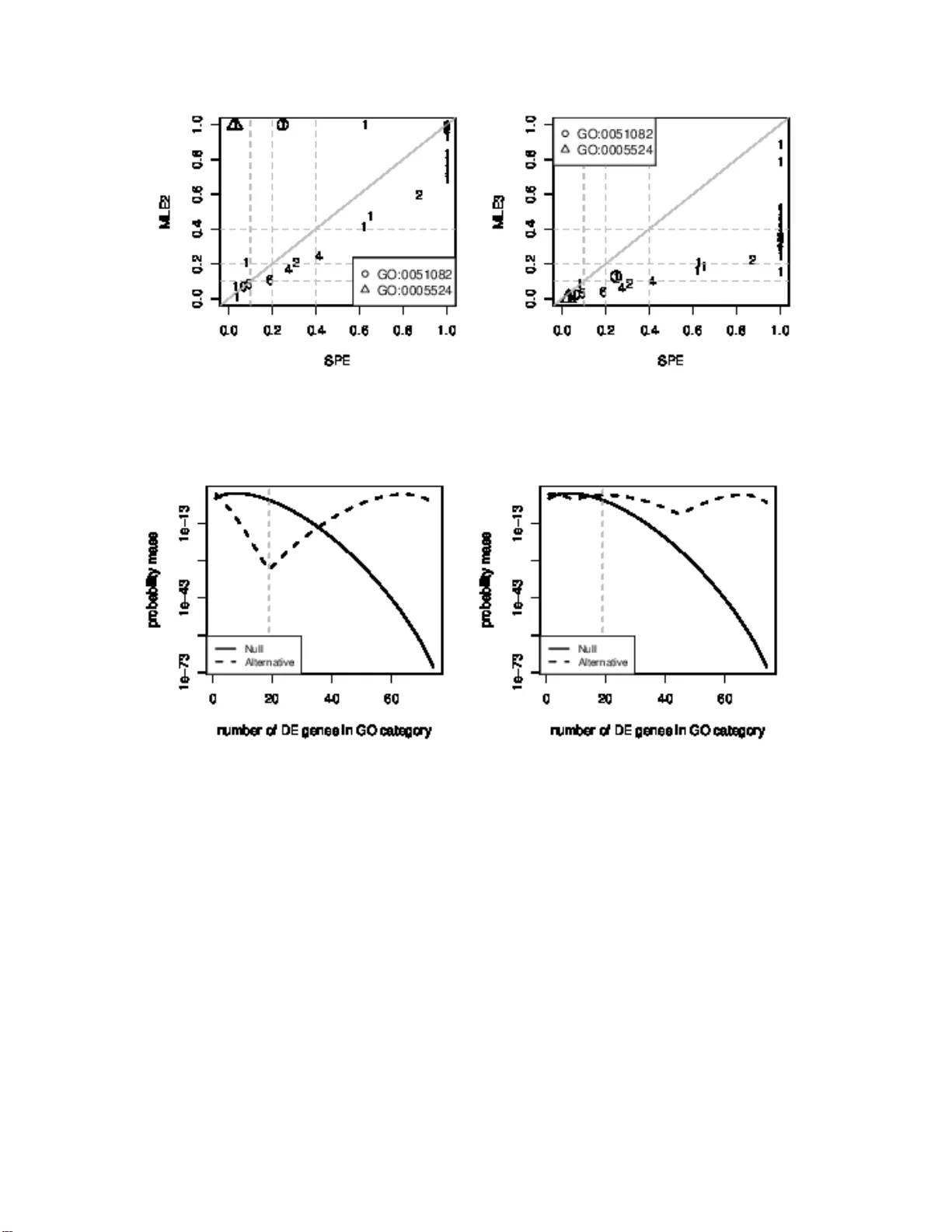
본 논문은 고처리량 유전자 발현 실험에서 차등 발현된 유전자 집합이 특정 생물학적 카테고리(예: Gene Ontology, GO)와 얼마나 과다 혹은 과소 표현되는지를 판단하는 ‘풍부도(enrichment) 분석’의 통계적 기반을 재검토한다. 전통적인 다중 비교 절차(MCP)인 Bonferroni 보정은 거짓 양성 억제는 뛰어나지만 거짓 음성 비율이 높아 실질적인 발견을 방해한다. 반면, 거짓 발견률(FDR) 제어는 보다 균형 잡힌 접근법이지만, q‑값은 실제로 “카테고리가 차이가 없을 확률”(LFDR)과는 차이가 있다. 따라서 저자들은 LFDR 자체를 직접 추정하는 방법을 모색한다. 논문은 먼저 LFDR의 정의와 베이즈 팩터(BF)를 통한 표현을 제시한다. GO 카테고리 i에 대해, θ_i는 로그오즈비이며, θ_i=0이면 귀무가설, θ_i≠0이면 대립가설이다. 베이즈 팩터 BF_i는 대립가설과 귀무가설 하에서 관측된 통계량 T_i(=DE 유전자 수)의 가능도 비율로 정의되고, 사전 확률 π₀(카테고리가 동일하게 표현될 확률)를 이용해 LFDR_i = 1/(1+BF_i·(1−π₀)/π₀) 로 계산된다. 다음으로 세 가지 LFDR 추정기를 소개한다. 1. **반파라메트릭 추정기(SPE)** - p‑값 순위 r_i와 전체 카테고리 수 m을 이용해 LFDR_i를 보수적으로 상한 추정한다. - 식: dLFDR_i = min{ (2·r_i)/m , 1 } (r_i ≤ m/2) 혹은 1 (r_i > m/2). - 구현이 간단하고, 카테고리 수가 적을 때 과도한 변동을 억제한다. 2. **최대우도 추정기(MLE)** - k‑component 파라메트릭 혼합 모델(PMM)을 가정한다. 각 구성 요소는 서로 다른 로그오즈비 θ_j (j=0,…,k−1)와 혼합 비율 π_j 로 표현된다. θ₀=0은 귀무가설을 의미한다. - 전체 데이터의 조건부 가능도 L(θ,π) 를 EM 알고리즘으로 최대화해 파라미터를 추정하고, 추정된 파라미터를 이용해 각 카테고리의 LFDR_i = π₀·g_{θ₀}(t_i|s_i) / g(t_i|s_i;̂θ,̂π) 로 계산한다. - k는 BIC 등 정보 기준을 통해 선택한다. 실험에서는 k=2~4가 일반적이었다. 3. **정규화 최대우도 추정기(NMLE)** - 사전 확률 π₀를 사용자가 지정해야 하며, 베이즈 팩터를 정규화된 최대우도(NML) 비율로 근사한다. - NML은 각 θ에 대해 가능한 최대 가능도를 구하고, 이를 정규화 상수 K† 로 나눈 형태이다: f†_i(t_i|s_i;Θ) = max_{θ∈Θ} f_θ(t_i|s_i) / K†. - BF_i는 f†_i(θ≠0) / f†_i(θ=0) 로 정의되고, LFDR_i = 1 / (1 + BF_i·(1−π₀)/π₀). - 카테고리 수가 극히 적을 때(1~2개)만 실용적이며, π₀를 0.9~0.95 정도로 설정한다. **실험 및 시뮬레이션** - 실제 데이터: 유방암 마이크로어레이 (GSEXXXX)에서 약 120개의 GO 카테고리를 추출, 각 카테고리별 DE/EE 유전자 수를 기반으로 통계량을 계산. - 시뮬레이션: 다양한 n(DE 수), N(전체 유전자 수), 그리고 실제 차별 표현 비율을 변형해 1,000번 반복. - 평가 지표: 평균 제곱오차(MSE), 편향(bias), 그리고 ROC 곡선 아래 면적(AUC). **주요 결과** - 카테고리 수 m≈100 이상이면 MLE가 가장 낮은 MSE와 높은 AUC를 기록, 혼합 모델의 k 선택이 약간 부정확해도 성능 저하가 미미했다. - m≈10일 때 MLE는 과적합으로 인해 LFDR 추정이 불안정해졌으며, SPE가 보수적이지만 일관된 추정값을 제공, 특히 FDR 제어 수준 0.05에서 실제 FDR≈0.07 정도로 근접했다. - m≈1~2에서는 어떤 혼합 모델도 파라미터를 안정적으로 추정할 수 없으며, NMLE가 사전 π₀를 명시함으로써 유일하게 의미 있는 LFDR 값을 산출했다. - π₀에 대한 민감도 분석 결과, π₀를 0.85~0.95 사이로 변동시 LFDR 추정값이 크게 변하지 않으며, 이는 실제 생물학적 상황에서 π₀가 대체로 높게(대다수 카테고리는 차이가 없음) 가정되는 점과 일치한다. **결론 및 실용 가이드라인** - **중간 규모(≈100개) 카테고리**: MLE를 권장. 혼합 모델의 k는 BIC 기반 자동 선택을 사용하고, 사전 π₀는 필요 없으며 결과가 가장 정확함. - **소규모(≈10개) 카테고리**: SPE를 사용. 구현이 간단하고 과적합 위험이 없으며, 보수적인 LFDR 추정이 FDR 제어에 적합함. - **극소규모(≈1~2개) 카테고리**: NMLE를 사용. 사전 확률 π₀를 0.9~0.95로 설정하고, 정규화된 최대우도 비율을 통해 BF를 계산한다. 이러한 가이드라인은 기존의 p‑값 기반 풍부도 분석 파이프라인에 LFDR 추정 단계를 추가함으로써, 연구자가 “카테고리가 실제로 차이가 없는 확률”을 직접 해석하고, 보다 신뢰성 있는 생물학적 결론을 도출하도록 돕는다.

원본 논문

고화질 논문을 불러오는 중입니다...

댓글 및 학술 토론

Loading comments...

의견 남기기