커뮤니티 구조 진동기 네트워크의 메타안정성 키메라 상태

커뮤니티 구조 진동기 네트워크의 메타안정성 키메라 상태
안내: 본 포스트의 한글 요약 및 분석 리포트는 AI 기술을 통해 자동 생성되었습니다. 정보의 정확성을 위해 하단의 [원본 논문 뷰어] 또는 ArXiv 원문을 반드시 참조하시기 바랍니다.

초록

동일한 진동기들을 커뮤니티별로 완전 연결하고, 다른 커뮤니티와는 부분적으로 연결한 모델을 제시한다. 위상 지연을 포함한 동기화 방정식으로, 위상 지연이 π/2에 가깝지만 정확히 일치하지 않을 때 메타안정적인 키메라 상태가 가장 많이 발생한다. 메타안정성, 키메라 현상의 보편성, 상태 다양성을 정량화하는 지표를 도입하고, 수치 시뮬레이션을 통해 각 지표가 위상 지연에 따라 어떻게 변하는지 분석한다. 뇌 활동과 같은 복합 시스템에 대한 함의를 논의한다.

상세 분석

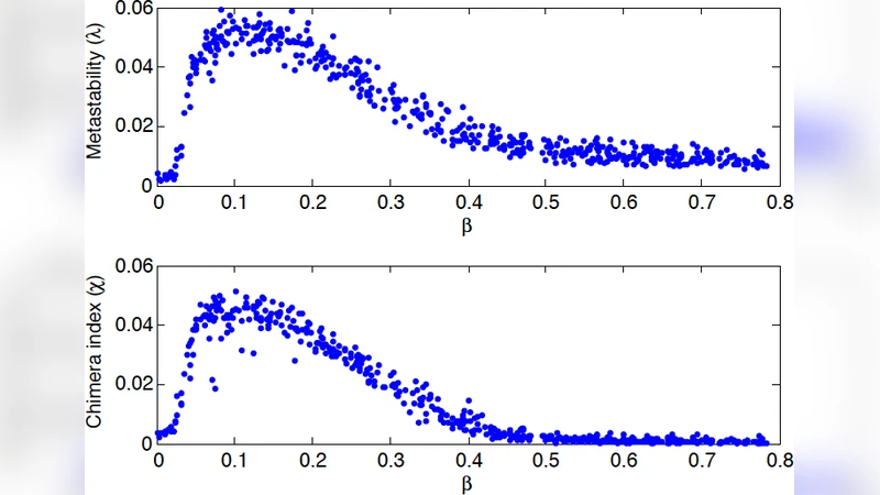
본 논문은 Kuramoto‑Sakaguchi 형태의 위상 진동기 모델에 커뮤니티 구조를 부여함으로써, 동기화와 비동기화가 동시에 존재하는 ‘키메라’ 현상을 메타안정적인(일시적) 형태로 생성한다는 점에서 혁신적이다. 각 커뮤니티 내부는 완전 연결(모든 진동기 간 상호작용)이며, 커뮤니티 간 연결은 확률적 혹은 규칙적인 부분 연결로 설정한다. 위상 지연 파라미터 α는 동기화 힘을 조절하는 역할을 하며, α≈π/2일 때 내부 동기화와 외부 탈동기화 사이의 균형이 미세하게 깨져 다양한 부분 동기화 패턴이 장시간 지속된다. 저자들은 세 가지 정량적 지표를 정의한다. 첫째, 메타안정성 지표 M은 시간에 따른 지역 동기화 정도의 변동성을 평균 제곱근으로 측정한다. 둘째, 키메라 비율 C는 전체 네트워크에서 동시에 동기화와 비동기화가 관찰되는 순간의 비율을 나타낸다. 셋째, 상태 다양성 D는 서로 다른 키메라 패턴(예: 어느 커뮤니티가 동기화되고 어느 커뮤니티가 탈동기화되는가)의 출현 빈도를 엔트로피 형태로 정량화한다. 시뮬레이션 결과, α가 π/2에 근접할수록 M, C, D가 모두 최대값에 도달함을 확인했으며, 이는 위상 지연이 동기화 힘을 약화시켜 부분 동기화 영역을 장시간 유지하게 만든다. 또한, 커뮤니티 크기, 연결 밀도, 외부 연결 비율 등 구조적 파라미터가 메타안정성에 미치는 영향을 탐색했는데, 커뮤니티 간 연결이 너무 적으면 전체 네트워크가 완전 탈동기화되고, 반대로 과도하면 전역 동기화가 지배한다는 ‘중간 영역’이 존재한다는 점을 강조한다. 이러한 결과는 뇌의 기능적 연결망이 강한 모듈성(community)과 약한 장거리 연결을 동시에 갖는 구조와 유사하며, 뇌가 작업 수행 중에 일시적인 부분 동기화(예: 작업 관련 영역)와 전역 비동기화(예: 휴식 상태)를 교대로 유지한다는 가설을 뒷받침한다. 마지막으로, 메타안정적인 키메라 상태는 외부 자극이나 파라미터 변동에 의해 쉽게 전이될 수 있어, 복합 시스템이 유연하게 동작 모드를 전환하는 메커니즘을 설명하는 데 유용할 것으로 제안한다.


댓글 및 학술 토론

Loading comments...

의견 남기기