복잡한 동역학 최적 차원축소 체스 게임을 자유에너지 지형 위 확산으로

** 본 논문은 전통적인 차원축소가 구성공간 재현에만 초점을 맞추는 한계를 지적하고, 동역학 자체를 보존하는 최적 반응좌표(optimal reaction coordinate)를 정의한다. 체스 게임을 사례로 삼아, 평가함수 E(p) 를 최적화해 자유에너지 프로파일(cFEP)을 구축하고, 이를 확산 과정으로 모델링함으로써 승률을 정확히 예측한다. 최적 좌표는 마코프성(Markovian)과 확산성을 동시에 만족하며, 인간·컴퓨터 의사결정이 포함…

저자: Sergei V. Krivov

복잡한 동역학 최적 차원축소 체스 게임을 자유에너지 지형 위 확산으로
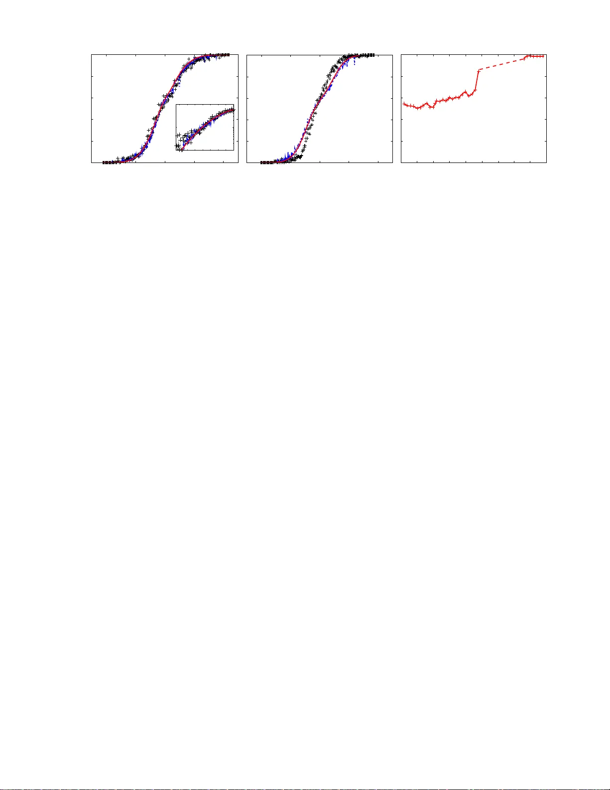
** 본 논문은 복잡계의 동역학을 저차원 변수 하나로 완전히 기술하는 방법을 제시한다. 기존 차원축소 기법(PCA 등)은 다수의 구성 상태를 압축해 시각적·통계적 이해를 돕지만, 시간에 따른 전이 정보를 무시한다는 근본적인 한계가 있다. 저자는 “반응좌표” X(t) 를 정의하고, 그 시간열을 기반으로 절단 기반 자유에너지 프로파일(cFEP) F_C(x) = −kT ln Z_C(x) 을 만든다. 여기서 Z_C(x) 는 좌표 x 를 통과한 전이 횟수의 절반이며, 이는 좌표 스케일링에 불변하고 통계적 잡음에 강인한 특성을 가진다. cFEP와 좌표‑의존 확산계수 D(x) 가 동시에 알려지면, 확산 방정식 ∂_t P(x,t)=∂_x

원본 논문

고화질 논문을 불러오는 중입니다...

댓글 및 학술 토론

Loading comments...

의견 남기기