진동 자극을 받는 적분 발화 뉴런의 동적 위상 전이

진동 자극을 받는 적분 발화 뉴런의 동적 위상 전이
안내: 본 포스트의 한글 요약 및 분석 리포트는 AI 기술을 통해 자동 생성되었습니다. 정보의 정확성을 위해 하단의 [원본 논문 뷰어] 또는 ArXiv 원문을 반드시 참조하시기 바랍니다.

초록

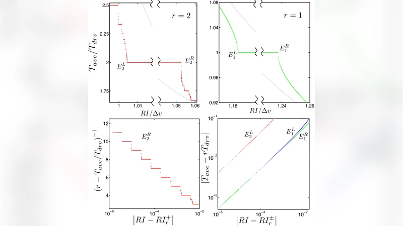
본 논문은 외부 진동 자극이 가해진 적분‑발화(Integrate‑and‑Fire) 뉴런 모델을 분석한다. 뉴런 고유 발화 주기와 외부 리듬 사이의 경쟁(프러스트레이션)으로 인해 다양한 위상 고정(phase‑locking) 패턴이 나타나며, 이들 사이의 전이는 접선(tangent) 분기와 불연속(discontinuous) 분기로 구분된다. 접선 분기는 연속적인 위상 전이와 유사한 발산 스케일을 보이고, 불연속 분기는 연속 전이와 1차 전이 사이의 새로운 유형으로서 특이한 스케일링 법칙을 따른다.

상세 분석

논문은 먼저 전류 입력 I와 리셋 전압 v_eq, 스파이크 임계값 v_th를 갖는 기본적인 적분‑발화 방정식 dv/dt=−(v−v_eq)+I를 제시한다. 외부 진동 자극은 전류 I에 주기적 항 ε cos(ω_D t)를 더함으로써 구현된다. 이때 뉴런은 자체 발화 주기 T_nat=ln


댓글 및 학술 토론

Loading comments...

의견 남기기