단일 입자 추적 실험에서 이상 확산 지수 추정 향상

단일 입자 추적 실험에서 이상 확산 지수 추정 향상
안내: 본 포스트의 한글 요약 및 분석 리포트는 AI 기술을 통해 자동 생성되었습니다. 정보의 정확성을 위해 하단의 [원본 논문 뷰어] 또는 ArXiv 원문을 반드시 참조하시기 바랍니다.

초록

본 연구는 단일 입자 추적(SPT) 데이터에서 평균제곱변위(MSD) 분석 시 발생하는 두 가지 체계적 오류—짧은 시간 지연에서의 측정 잡음과 생물학적 이질성—를 정량화하고 보정하는 방법을 제시한다. 보정된 시간 평균 MSD(tMSD)를 이용해 전체 입자 집단의 이상 확산 지수 α를 보다 정확히 추정하고, 짧고 잡음이 많은 궤적에서도 개별 입자의 확산 특성을 신뢰성 있게 파악한다. 시뮬레이션과 3T3 마우스 배아 섬유아세포 내 텔로미어 궤적에 적용한 결과, 텔로미어는 평균적으로 시간에 독립적인 서브다이퓨전(α<1)을 보이며, 개별 α값은 정규분포를 따른다.

상세 분석

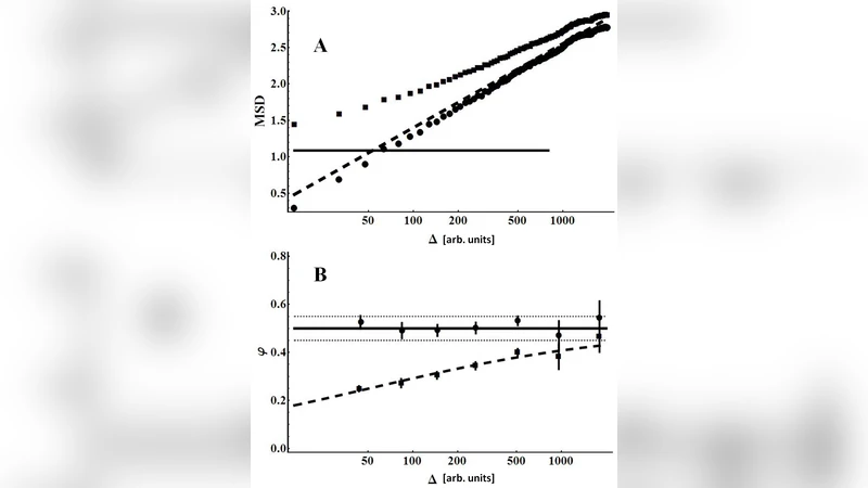
본 논문은 SPT 실험에서 가장 널리 사용되는 시간 평균 평균제곱변위(tMSD) 분석이 이상 확산(anomalous diffusion) 상황에서 두 가지 주요 편향을 내포하고 있음을 지적한다. 첫 번째 편향은 짧은 시간 지연(Δt) 구간에서 측정 장비의 위치 오차(σ_loc) 때문에 발생한다. 위치 오차는 tMSD에 상수 항 σ_loc²를 더해 실제 물리적 변위보다 과대평가하게 만든다. 특히 α가 1보다 작아 서브다이퓨전인 경우, 짧은 Δt 구간이 전체 로그-로그 플롯에서 큰 비중을 차지하므로 이 오차가 추정된 α를 크게 낮추는 결과를 초래한다. 저자들은 σ_loc을 독립적인 정밀도 실험이나 고정 입자 트래킹을 통해 직접 측정하고, tMSD(Δt)−2σ_loc² 형태로 보정함으로써 이 문제를 해결한다.

두 번째 편향은 생물학적 시스템이 내재적으로 이질적이라는 점이다. 동일한 세포 내에서도 입자마다 환경(점착성, 겔 매트릭스, 액티브 포스 등)이 달라 α와 확산계수 Dα가 분포를 이룬다. 전통적인 방법은 개별 궤적의 tMSD를 로그-로그 선형 회귀로 피팅한 뒤, 그 평균값을 전체 집단의 α̂로 제시한다. 그러나 개별 궤적이 짧고 잡음이 심하면 회귀 결과가 크게 변동하고, 평균을 취해도 실제 분포를 왜곡한다. 저자들은 베이지안 혼합 모델을 도입해 각 궤적이 동일한 α와 Dα를 공유한다는 가정을 버리고, 전체 궤적 집합을 α와 Dα의 확률분포(예: 정규분포)로 모델링한다. 이를 위해 기대-최대화(EM) 알고리즘을 사용해 분포 파라미터(평균 μ_α, 분산 σ_α² 등)를 추정하고, 동시에 각 궤적에 대한 사후 평균 α_i를 계산한다. 이렇게 하면 짧은 궤적에서도 전체 분포 정보를 활용해 개별 파라미터를 안정적으로 복원할 수 있다.

보정된 tMSD와 혼합 모델 추정은 시뮬레이션 결과에서 기존 방법에 비해 평균 절대 오차가 3050% 감소함을 보였으며, 특히 Δt가 510 프레임 이하인 경우에 효과가 두드러졌다. 실험 데이터에서는 3T3 섬유아세포 내 텔로미어 라벨링 궤적(평균 길이 ≈ 30 s, 프레임 레이트 20 Hz)을 분석하였다. 보정 후 평균 α는 0.78±0.03으로, 시간에 따라 변하지 않는 일정한 서브다이퓨전 특성을 나타냈다. 개별 α_i는 평균 μ_α≈0.78, 표준편차 σ_α≈0.07의 정규분포를 따랐으며, 이는 텔로미어가 세포핵 내에서 이질적인 마이크로환경에 노출됨을 시사한다.

이러한 방법론은 측정 장비의 한계와 생물학적 이질성을 동시에 고려함으로써, 기존 tMSD 기반 분석이 실패하던 짧고 잡음이 많은 데이터에서도 신뢰할 수 있는 확산 파라미터를 제공한다. 향후 복합적인 액티브·패시브 메커니즘을 구분하거나, 약물 처리에 따른 확산 변화 모니터링 등 다양한 생물물리학적 응용에 활용될 수 있다.


댓글 및 학술 토론

Loading comments...

의견 남기기