소셜 네트워크 사용자 활동 예측을 위한 결합 히든 마코프 모델

본 논문은 사용자의 트위터 활동을 모델링하기 위해, 이웃 사용자의 집합적 행동이 숨겨진 상태 전이와 관측에 영향을 미치는 결합 히든 마코프 모델(coupled HMM)을 제안한다. 일반화된 Baum‑Welch와 Viterbi 알고리즘을 이용해 파라미터 학습 및 상태 추정을 수행하고, 대규모 트위터 데이터에 적용해 기존의 Renewal 프로세스와 독립 HMM 대비 데이터 적합도와 다음 트윗 예측 정확도가 크게 향상됨을 보인다. 또한 학습된 파라미…

저자: Vasanthan Raghavan, Greg Ver Steeg, Aram Galstyan

소셜 네트워크 사용자 활동 예측을 위한 결합 히든 마코프 모델
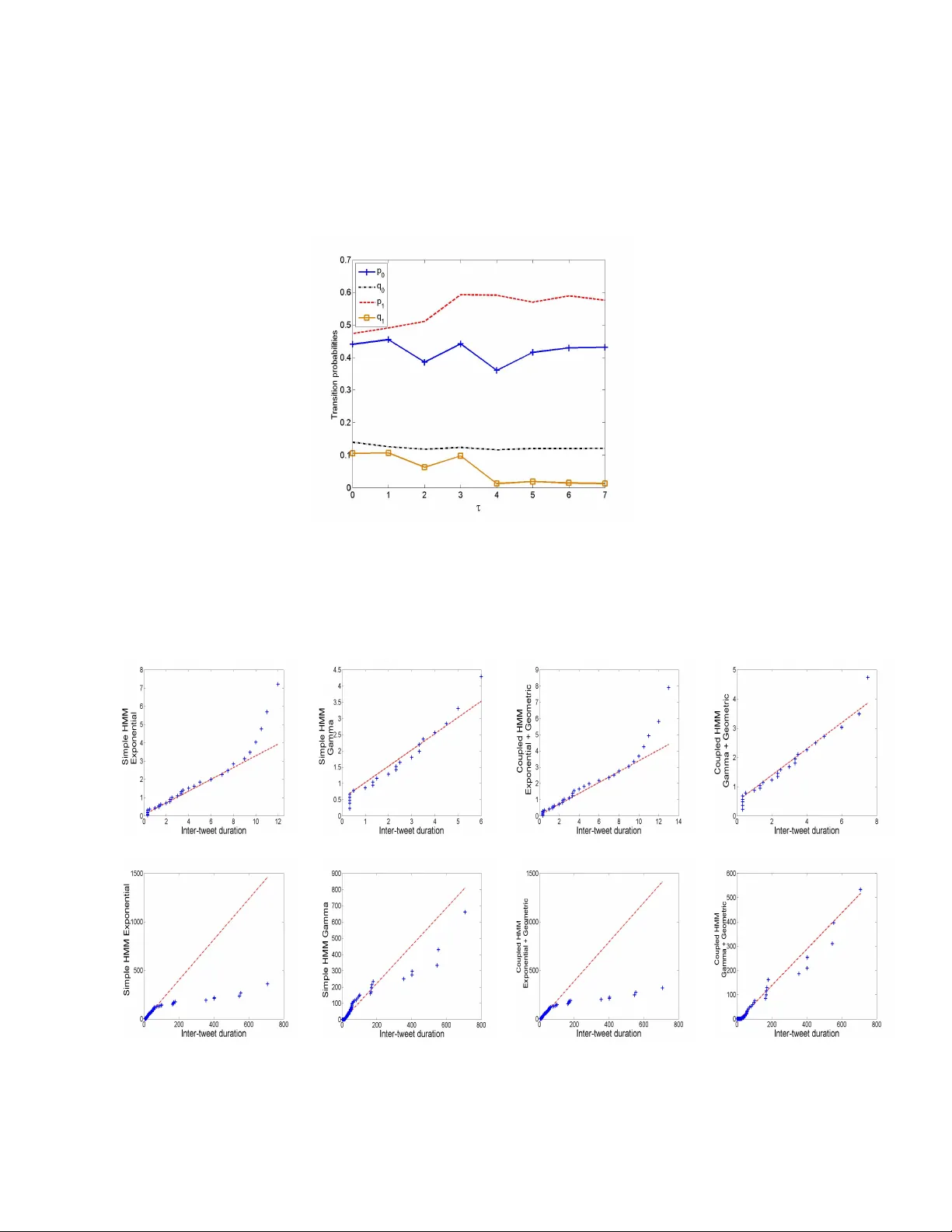
본 논문은 “Modeling Temporal Activity Patterns in Dynamic Social Networks”라는 제목 아래, 소셜 네트워크 상에서 사용자의 시간적 활동 패턴을 정량적으로 설명하고 예측하기 위한 새로운 확률 모델을 제시한다. 서론에서는 기존 연구가 주로 개별 사용자를 독립적인 포아송 혹은 Renewal 프로세스로 모델링해 왔으며, 이러한 접근법이 인간 행동의 비포아송성(heavy‑tail, burstiness)과 사회적 상호작용을 충분히 반영하지 못한다는 점을 지적한다. 특히, 트위터와 같은 실시간 SNS에서는 사용자의 행동이 이웃(팔로워·친구)의 활동에 크게 좌우되므로, 네트워크 영향을 모델에 통합하는 것이 필요함을 강조한다. 관련 연구 파트에서는 전통적인 HMM, 입력‑출력 HMM, 팩토리얼 HMM, 그리고 다양한 결합 HMM 변형들을 검토한다. 이들 중 대부분은 하나의 시계열에 초점을 맞추거나, 네트워크 영향을 외부 입력으로만 취급해 상호 의존성을 충분히 모델링하지 못한다는 한계를 제시한다. 핵심 모델링 섹션에서는 두 단계의 가정을 바탕으로 결합 히든 마코프 모델(coupled HMM)을 정의한다. 1) **숨겨진 상태 Qᵢ**: 0(비활동)과 1(활동) 두 가지 상태로, 1차 마코프 체인으로 전이한다. 전이 행렬은 기본 행렬 P₀와 네트워크 활동이 특정 임계값을 초과했을 때 적용되는 강화 행렬 P₁로 구성된다. 2) **관측 Δᵢ**: 인터‑트윗 간격으로, 상태에 따라 지수 혹은 감마 분포 f₀, f₁ 로 모델링한다. 3) **네트워크 영향 Zᵢ**: 이웃 사용자의 집합적 트윗량, 멘션 수, 리트윗 횟수 등으로 정의될 수 있는 외부 변수이며, φ(Zᵢ)∈

원본 논문

고화질 논문을 불러오는 중입니다...

댓글 및 학술 토론

Loading comments...

의견 남기기