DBKGrad 패키지를 활용한 사망률 졸업과 이산 베타 커널 기법

DBKGrad 패키지를 활용한 사망률 졸업과 이산 베타 커널 기법
안내: 본 포스트의 한글 요약 및 분석 리포트는 AI 기술을 통해 자동 생성되었습니다. 정보의 정확성을 위해 하단의 [원본 논문 뷰어] 또는 ArXiv 원문을 반드시 참조하시기 바랍니다.

초록

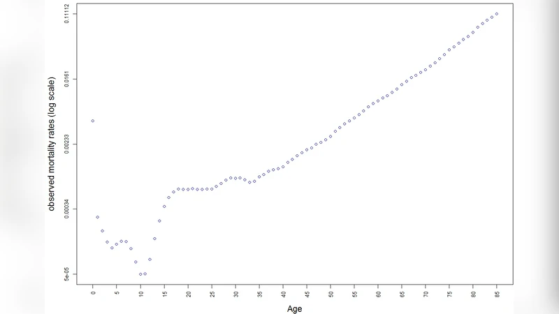
본 논문은 사망률 데이터를 부드럽게 추정하기 위한 이산 베타 커널 방법을 R 패키지 DBKGrad에 구현한 내용을 소개한다. 고정 및 적응형 대역폭을 지원하며, 경계 편향을 자동으로 감소시키고 연령을 이산 변수로 취급한다. 사용자는 대역폭을 직접 지정하거나 교차 검증으로 선택할 수 있고, 각 연령별 점별 신뢰구간도 제공한다. 시칠리아 지역 2008년 사망률 데이터를 예제로 적용해 패키지 사용법을 시연한다.

상세 분석

DBKGrad 패키지는 기존 커널 스무딩 기법이 연속형 연령을 전제로 하는 한계를 극복하기 위해 이산 베타 커널을 도입한다. 이 커널은 연령을 0,1,…,ω와 같은 정수형 인덱스로 다루어, 연령 구간 경계에서 발생하는 편향을 자연스럽게 완화한다. 고정 대역폭 방식에서는 전체 연령 구간에 동일한 평활화 정도를 적용하지만, 적응형 대역폭은 각 연령의 위험 노출(노출 인구수) 정보를 활용해 대역폭을 가변적으로 조정한다. 위험 노출이 큰 연령대는 작은 대역폭을 사용해 세밀한 변동을 보존하고, 노출이 적은 고령층은 큰 대역폭을 적용해 잡음을 억제한다. 대역폭 선택은 사용자가 직접 지정하거나, 최소제곱 교차 검증(MSE‑CV) 절차를 통해 자동으로 최적값을 찾는다. 교차 검증은 전체 데이터셋을 여러 번 훈련·검증 집합으로 나누어 평균 제곱 오차를 최소화하는 대역폭을 탐색한다. 또한, 패키지는 각 연령별 추정값에 대한 점별 신뢰구간을 제공한다. 이는 베르누이 모델을 가정하고, 추정된 사망률의 분산을 베타 커널 가중치와 결합해 근사한다. 신뢰구간은 정책 입안자나 보험계리사가 특정 연령대의 사망률 불확실성을 정량적으로 평가하는 데 유용하다. 구현 측면에서 DBKGrad는 R의 vectorized 연산과 C++(Rcpp) 코드를 활용해 대규모 데이터에서도 효율적인 계산을 가능하게 한다. 함수 인터페이스는 dbkgrad(), plot(), ci() 등 직관적인 명령어로 구성돼 있어, 통계 초보자도 손쉽게 적용할 수 있다. 마지막으로, 논문은 이산 베타 커널이 기존 연속형 가우시안 커널 대비 경계 효과 감소와 적응형 대역폭 적용에서 우수한 성능을 보인다는 시뮬레이션 결과와 실제 시칠리아 데이터 적용 사례를 제시한다. 이러한 결과는 인구통계학적 분석, 보험계리, 공공보건 분야에서 보다 정확하고 신뢰성 있는 사망률 졸업을 지원한다는 점에서 의의가 크다.


댓글 및 학술 토론

Loading comments...

의견 남기기