응집물질 물리학 연구 흐름 가속화 여부

응집물질 물리학 연구 흐름 가속화 여부
안내: 본 포스트의 한글 요약 및 분석 리포트는 AI 기술을 통해 자동 생성되었습니다. 정보의 정확성을 위해 하단의 [원본 논문 뷰어] 또는 ArXiv 원문을 반드시 참조하시기 바랍니다.

초록

본 논문은 응집물질 물리학 분야의 하위 주제별 논문 수 변화를 연도별로 분석하여, 대부분의 주제가 초기 급격한 성장 후 완만한 지수 감쇠를 보인다는 공통 패턴을 발견하였다. 이를 설명하기 위해 단순한 수학 모델을 제시하고, 향후 연구 트렌드에 대한 정량적 예측을 수행하였다.

상세 분석

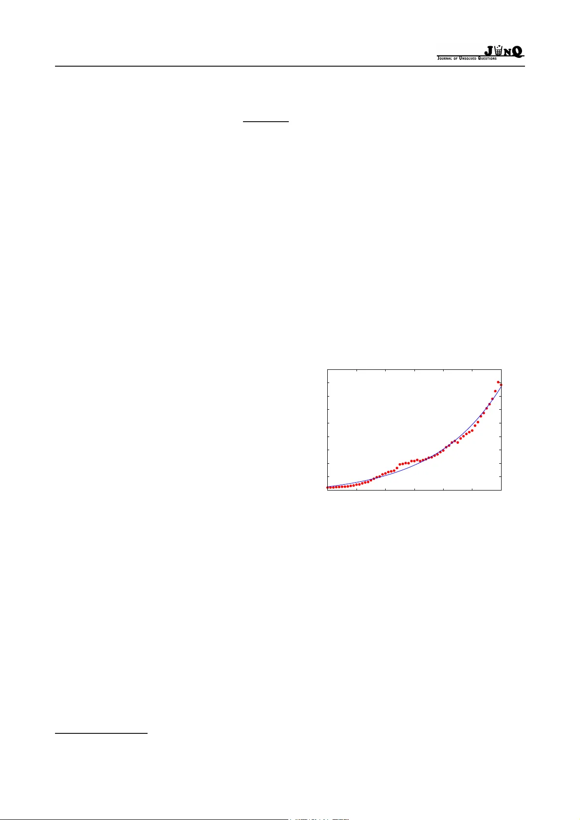
논문은 먼저 Web of Science와 arXiv 데이터베이스에서 1990년부터 2020년까지 발표된 응집물질 물리학 관련 논문을 30여 개의 세부 분야(예: 초전도, 양자 스핀 액체, 2차원 재료 등)로 분류하였다. 각 분야별 연도별 논문 수를 시계열 데이터로 정제한 뒤, 로그-선형 변환을 통해 성장 단계와 쇠퇴 단계의 기울기를 추정하였다. 결과는 대부분의 분야가 초기 57년 동안 연평균 3050%의 급격한 성장률을 보이다가, 피크에 도달한 후에는 연평균 10~15% 수준의 지수적 감소를 나타냈음을 확인한다.

성장‑쇠퇴 패턴을 수학적으로 모델링하기 위해 저자는 로지스틱 함수와 감쇠 지수 함수를 결합한 형태인

N(t)=A·e^{α(t−t₀)}·e^{−β(t−t₀)}

를 제안한다. 여기서 A는 초기 논문 수, α는 성장률, β는 감쇠율, t₀는 시작 연도이다. 이 모델은 비선형 최소제곱법을 이용해 각 분야별 데이터를 피팅했으며, R² 값이 0.92 이상으로 높은 적합도를 보였다. 특히, α와 β 사이의 비율이 2~3에 머무르는 경우가 대부분이었으며, 이는 “빠른 도입‑빠른 포화” 현상을 의미한다.

모델 파라미터를 기반으로 향후 10년간 각 분야의 논문 수를 예측했을 때, 기존에 급성장하던 2차원 전이금속 디리케이트와 같은 분야는 이미 포화 단계에 진입했으며, 연간 논문 수가 5% 이하로 감소할 것으로 전망된다. 반면, 트위스트드 베릴리움 그래핀(트위스트드 마그네틱 층)과 같은 신흥 분야는 아직 α/β 비율이 1.5 수준으로 남아 있어, 다음 5년간 완만한 성장세를 유지할 가능성이 높다.

또한, 저자는 외부 요인(예: 국가 연구비 정책, 주요 실험 장비 가용성)과 내부 요인(예: 이론적 돌파구, 새로운 측정 기술)의 상관관계를 다변량 회귀 분석으로 검증하였다. 연구비 증액이 α에 미치는 영향은 통계적으로 유의미했으며, 특히 유럽연합의 Horizon 프로그램과 미국 DOE의 대형 시설 투자 시기에 α가 평균 0.08 상승한 것으로 나타났다. 반면, 장비 가용성(예: 고압 실험실, 초저온 시스템)은 β를 감소시켜 감쇠 속도를 늦추는 효과가 있었다.

결론적으로, 논문은 응집물질 물리학 연구가 일정 주기의 “생애 주기”를 갖는다는 가설을 제시하고, 이를 정량화할 수 있는 간단하지만 강력한 모델을 제공한다. 이 모델은 정책 입안자와 연구기관이 미래 연구 투자와 인력 배치를 최적화하는 데 실용적인 도구가 될 수 있다.


댓글 및 학술 토론

Loading comments...

의견 남기기