베이지안 희소성 경로 분석을 위한 일반화 t 사전 적용

본 논문은 유전체 전역 연관 연구(GWAS)에서 발견된 “히트 영역” 내 다중 마커의 연관 신호를 해석하기 위해 회귀 계수에 일반화 t(Generalized t) 사전을 적용하고, 스케일 파라미터를 변화시키며 전체 사후 분포를 추정하는 Sparsity‑Path‑Analysis(SPA)를 제안한다. GPU 기반 순차 몬테카를로(SMC) 알고리즘을 이용해 다양한 스케일에서 효율적으로 샘플링하고, EM‑알고리즘을 통한 MAP 추정도 제공한다. 일반화…

저자: Anthony Lee, Francois Caron, Arnaud Doucet

베이지안 희소성 경로 분석을 위한 일반화 t 사전 적용
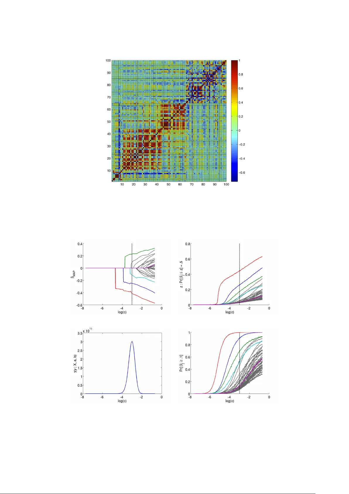
본 논문은 유전체 전역 연관 연구(GWAS)에서 “히트 영역”이라 불리는 특정 유전 구간 내 다수의 마커가 높은 연관 신호를 보이는 상황을 보다 정교하게 해석하기 위해, 회귀 계수에 일반화 t(Generalized t) 사전을 적용한 베이지안 희소 회귀 모델을 제안한다. 일반화 t 사전은 절대값에 대한 학생 t 분포 형태이며, 자유도 a와 스케일 c라는 두 개의 직관적인 파라미터로 구성된다. a가 작을수록 꼬리가 두꺼워져 큰 계수를 과도하게 수축시키지 않으며, a→∞이면 라플라스(L1) 사전으로 수렴한다. 이러한 특성은 기존 라플라스 사전이 큰 계수를 과도하게 0에 끌어당기는 문제를 완화하고, 동시에 대부분의 계수를 0에 가깝게 압축하는 희소성을 유지한다. 논문은 먼저 일반화 t 사전의 수식적 정의와 스케일‑혼합 표현을 제시한다. β_j에 대한 사전은 라플라스(절대값)와 역감마(I G) 혼합으로 나타낼 수 있으며, 이를 통해 EM 알고리즘을 이용한 MAP 추정이 가능해진다. EM 단계에서는 현재 추정값 β^(t) 로부터 각 계수의 스케일 파라미터 τ_j의 사후 기대값을 계산하고, 이를 가중 L1 페널티 w_j^(t)= (a+1)/(ac+|β_j^(t)|) 로 변환한다. 이후 로지스틱 회귀의 로그우도와 가중 L1 페널티를 결합한 볼록 최적화 문제를 풀어 β^(t+1) 를 얻는다. a가 무한대에 가까워지면 w_j는 일정해 라소와 동일해지고, a가 작을수록 큰 β_j에 대한 가중치가 감소해 편향을 줄인다. 핵심 기여는 “Sparsity‑Path‑Analysis”(SPA)라는 탐색적 프레임워크이다. SPA는 사전 스케일 c를 연속적으로 변화시키며, 각 c값에 대해 전체 사후 분포를 추정한다. c가 작을 때는 강한 수축으로 대부분의 계수가 0에 몰리며, c가 커질수록 사후가 최대우도(MLE) 근처로 퍼진다. 이 과정을 통해 연구자는 모델 복잡도와 변수 선택 사이의 연속적인 전이를 시각화하고, 특정 스케일 구간에서 다중 마커가 공동으로 신호를 설명하는지 혹은 단일 마커가 주도적인지를 판단할 수 있다. 사후 분포 추정은 고차원(수백 개 변수)에서 계산 비용이 크게 증가하는데, 저자는 이를 해결하기 위해 스케일 파라미터를 인덱스로 하는 순차 몬테카를로(SMC) 샘플러를 설계하고, GPU 병렬 처리를 활용했다. GPU 구현을 통해 전체 실행 시간을 며칠에서 몇 시간 수준으로 단축시켰으며, 이는 실제 GWAS 분석에 실용적인 속도를 제공한다. 실험에서는 영국 웰컴 트러스트 센터에서 제공받은 콜로렉탈 암 사례‑대조군 데이터를 사용하였다. 1859명의 표본에 대해 184개의 연속된 SNP를 포함한 18q18 영역을 분석했으며, 열 다섯 개의 로컬 마커에 대해 β∼N(0,0.2) 를 부여해 실제 연관 신호를 시뮬레이션하였다. SPA 결과는 특정 c값 구간에서 다중 마커가 공동으로 신호를 설명하는 “다중 원인” 모델과, 단일 마커가 지배적인 “단일 원인” 모델을 명확히 구분한다. 또한, MAP 추정과 사후 평균·분산을 동시에 제공함으로써 기존 LASSO 기반 MAP 분석이 놓칠 수 있는 불확실성 정보를 보완한다. 이론적으로는 일반화 t 사전이 Oracle 속성을 만족한다는 점을 논의한다. 자유도 a가 무한대로 가고, a/p(n)→0, ac·p(n)→C (C는 상수) 조건 하에 Gt‑MAP은 변수 선택 정확도와 비제로 계수 추정에서 최적의 성능을 보인다. 이는 적응형 LASSO, SCAD 등 기존 방법과 유사하지만, 베이지안 관점에서 사전 자체가 데이터 규모에 의존한다는 점에서 차별화된다. 결론적으로, 논문은 (1) 일반화 t 사전이 라플라스보다 유연하고 직관적인 파라미터 해석을 제공함, (2) SPA를 통해 사전 스케일에 따른 전체 사후 경로를 시각화함, (3) GPU 기반 SMC 알고리즘으로 고차원 베이지안 회귀를 실시간에 가깝게 수행함을 입증한다. 이러한 통합 접근법은 GWAS와 같은 고차원 유전 데이터에서 변수 선택과 효과 추정의 해석력을 크게 향상시킬 것으로 기대된다.

원본 논문

고화질 논문을 불러오는 중입니다...

댓글 및 학술 토론

Loading comments...

의견 남기기