연령 시간 이동 효과를 포함한 질병 역학 모델

본 논문은 기존의 질병 발생·완치·사망을 연령별로 연결한 미분방정식에 달력 연도와 인구 이동(이주) 효과를 추가한 일반화 모델을 제시한다. 3상태(건강‑질병‑사망) 병렬구조를 기반으로 편미분방정식을 도출하고, 특성곡선법을 이용해 해를 구한다. 가상의 비가역성 질환 사례를 통해 이론적 결과를 시뮬레이션하고, 이주와 시간 변화가 질병 유병률에 미치는 영향을 정량적으로 보여준다.

저자: Ralph Brinks

연령 시간 이동 효과를 포함한 질병 역학 모델
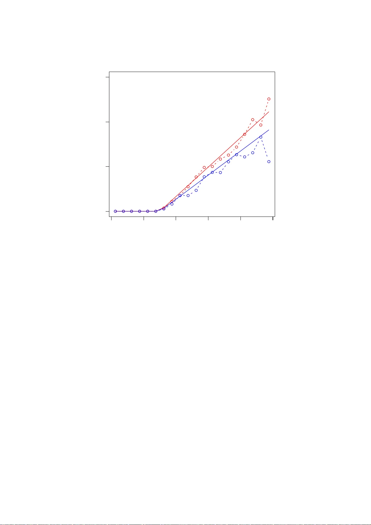
본 연구는 질병 역학 분야에서 널리 사용되는 Illness‑Death 모델을 확장하여, 연령(a), 달력시간(t), 그리고 인구 이동(이주)이라는 세 가지 핵심 변수의 상호작용을 동시에 고려한 일반화된 미분방정식을 제시한다. 기존 문헌에서는 주로 연령별 발병률(i), 회복률(r), 사망률(m)만을 포함한 1차 편미분방정식이 사용되었으며, 시간에 따른 변화나 인구 이동 효과는 무시되었다. 그러나 실제 인구는 정책 변화, 경제 상황, 사회적 요인 등에 의해 지속적으로 이동하고, 시간에 따라 발병·사망 위험도 변한다는 점에서 이러한 가정은 현실과 괴리될 수 있다. 논문은 먼저 전통적인 3상태(건강‑질병‑사망) 모델을 소개하고, 각 전이율을 연령·시간 함수로 정의한다. 여기서 건강인구의 사망률을 m₀(a,t), 환자군의 사망률을 m₁(a,t), 발병률을 i(a,t), 회복률을 r(a,t)라 표기한다. 인구 이동을 반영하기 위해 건강인구의 순이주율을 σ₀(a,t), 환자군의 순이주율을 σ₁(a,t)로 도입한다. 이주율은 양(유입)일 수도, 음(유출)일 수도 있으며, 연령별·시간별로 다르게 설정될 수 있다. 연령과 시간에 대한 연속성을 고려하면, 전체 인구 N(a,t)와 환자수 I(a,t) 사이의 관계를 통해 질병 유병률 p(a,t)=I(a,t)/N(a,t) 를 정의한다. 이를 미분하면 다음과 같은 편미분방정식이 도출된다. ∂p/∂t + ∂p/∂a = (1−p)·i(a,t) − p·r(a,t) − p·

원본 논문

고화질 논문을 불러오는 중입니다...

댓글 및 학술 토론

Loading comments...

의견 남기기