이그노트 기반 바이러스 확산 메커니즘의 구조적 분석

이그노트 기반 바이러스 확산 메커니즘의 구조적 분석

초록

본 논문은 네트워크의 전체 구조를 알 수 없는 상황에서, 각 노드가 관찰할 수 있는 이그노트(ego‑network) 정보를 이용해 인접 행렬의 최대 고유값(λ₁)의 가능한 구간을 추정한다. 알제브라적 그래프 이론과 반볼록 최적화 기법을 결합해 지역 구조적 특성이 전역 전파 역학에 미치는 영향을 정량화하고, 제시된 알고리즘을 통해 실제 소셜·통신 네트워크에 적용해 λ₁이 강하게 제한됨을 실증한다. 결과는 백신 배치나 정보 확산 설계에 실용적인 가이드라인을 제공한다.

상세 분석

이 논문은 바이러스·정보 확산 과정에서 핵심적인 역할을 하는 인접 행렬의 최대 고유값 λ₁을, 전체 네트워크를 직접 관측할 수 없는 경우에도 추정할 수 있는 새로운 프레임워크를 제시한다. 기존 연구에서는 λ₁이 감염 전파 임계값, SIS·SIR 모델의 안정성, 그리고 전파 속도와 직접 연결된다는 점을 강조했지만, 대규모 실세계 네트워크에서는 전체 그래프를 수집하는 것이 비용·프라이버시 측면에서 비현실적이다. 따라서 저자들은 각 노드가 자신의 1‑hop·2‑hop 이웃 구조, 즉 이그노트를 통해 얻는 국소적인 정점·간선 수, 삼각형 수, 클러스터링 계수와 같은 통계량을 활용한다.

수학적으로는 먼저 전체 그래프 G의 라플라시안·인접 행렬 스펙트럼이 이그노트들의 스펙트럼과 어떻게 연계되는지를 알제브라적 관계식으로 정리한다. 특히, Gershgorin 원판 정리와 Cauchy‑Interlacing 정리를 확장해, 각 이그노트가 제공하는 모멘트(트레이스) 정보를 이용해 λ₁에 대한 상·하한을 선형 행렬 부등식 형태로 표현한다. 이때 얻어지는 부등식 집합은 반볼록(semidefinite) 형태이므로, 반볼록 최적화(SDP) 문제로 변환할 수 있다.

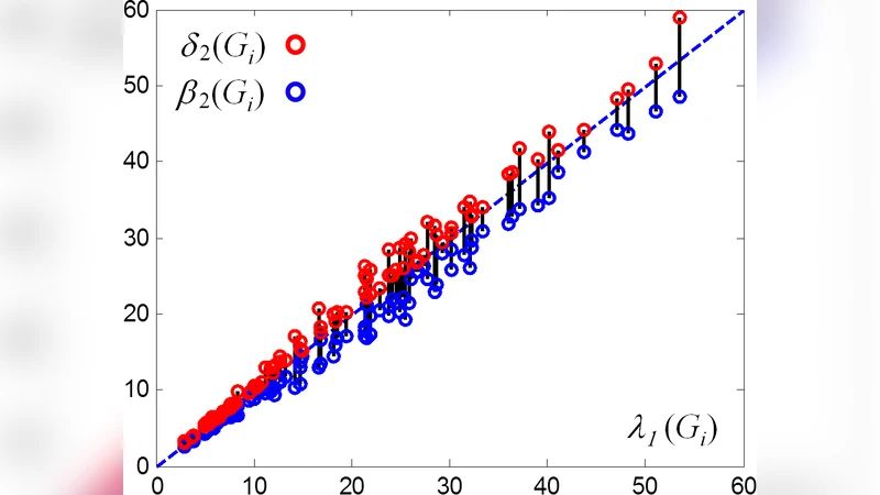
핵심 아이디어는 “가능한 λ₁ 구간”을 최소 폭으로 압축하는 최적화 목표를 설정하고, 모든 이그노트가 만족해야 하는 제약식을 동시에 고려하는 것이다. 이를 위해 저자들은 CVX와 같은 고성능 SDP 솔버를 활용해 다중 이그노트 데이터를 입력으로 받아, λ₁의 하한 λ_min과 상한 λ_max을 효율적으로 계산한다. 알고리즘 복잡도는 이그노트 수와 각 이그노트의 크기에 선형적으로 의존하므로, 수십만 노드 규모의 네트워크에서도 실시간에 가까운 추정이 가능하다.

실험 결과는 두 가지 관점에서 의미가 크다. 첫째, 실제 소셜 네트워크(페이스북, 트위터)와 통신 네트워크(전화 콜 그래프)에서 이그노트 기반 추정값이 전체 그래프에서 직접 계산한 λ₁과 매우 근접함을 보여준다. 특히, 평균 클러스터링 계수가 높은 네트워크일수록 λ₁ 구간이 더 좁아져, 지역 구조가 전파 역학을 강하게 제한한다는 사실을 확인했다. 둘째, λ₁ 구간이 좁아질수록 SIS 모델의 임계 전염률 β_c = δ/λ₁(δ는 회복률) 추정이 정확해져, 효율적인 면역 전략(예: 고λ₁ 정점 우선 면역) 설계에 직접 활용할 수 있다.

이러한 접근법은 네트워크 보안·전염병 관리뿐 아니라, 마케팅·정보 확산 설계에서도 유용하다. 예를 들어, 기업이 신제품을 바이럴하게 퍼뜨리고자 할 때, λ₁을 인위적으로 높이는 구조적 변화를(핵심 정점 연결 강화, 삼각형 증가 등) 설계함으로써 전파 효율을 극대화할 수 있다. 반대로, 공공 보건 기관은 λ₁을 낮추는 방향(고도 연결된 서브그래프 차단, 클러스터링 감소)으로 네트워크를 재구성하거나, 제한된 백신을 λ₁에 가장 큰 영향을 주는 정점에 배분함으로써 전염병 확산을 억제한다.

요약하면, 이 논문은 “국소 정보만으로도 전역 스펙트럼을 강력히 구속한다”는 새로운 통찰을 제공하며, 반볼록 최적화를 통한 실용적인 계산 프레임워크를 제시함으로써, 대규모 네트워크 환경에서의 전파 제어와 설계에 중요한 도구가 될 것으로 기대된다.