가속된 곱셈 업데이트와 계층적 ALS 알고리즘을 이용한 비음수 행렬 분해

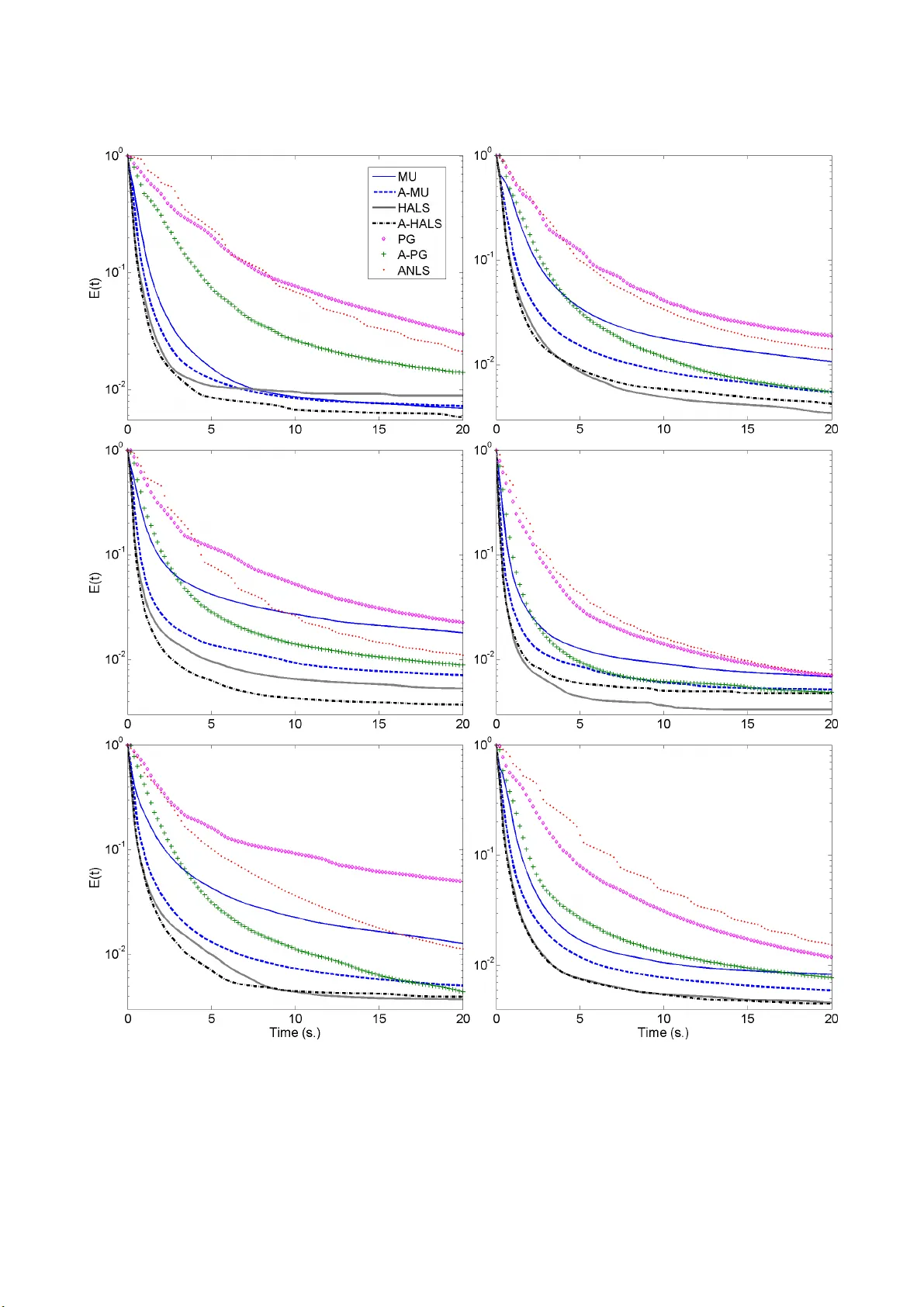
본 논문은 비음수 행렬 분해(NMF)에서 널리 사용되는 두 알고리즘, Lee‑Seung의 곱셈 업데이트(MU)와 Cichocki 등의 계층적 교대 최소제곱(HALS)을 비용 분석을 통해 가속화하는 방법을 제안한다. 핵심 아이디어는 비싼 행렬 곱셈 \(M H^T\)와 \(H H^T\)를 한 번만 계산하고, 그 이후에 같은 비용으로 여러 번 내부 업데이트를 수행하는 것이다. 고정된 내부 반복 횟수를 정하는 파라미터 α와, 변화량 기반 동적 중단 기…

저자: Nicolas Gillis, Franc{c}ois Glineur

가속된 곱셈 업데이트와 계층적 ALS 알고리즘을 이용한 비음수 행렬 분해
비음수 행렬 분해(NMF)는 \(M \in \mathbb{R}^{m \times n}_+\) 를 두 비음수 행렬 \(W \in \mathbb{R}^{m \times r}_+\)와 \(H \in \mathbb{R}^{r \times n}_+\)의 곱으로 근사하는 문제이며, 대부분의 실제 응용에서 \(r \ll \min(m,n)\) 인 저차원 근사가 요구된다. 기존 NMF 알고리즘은 \(W\)와 \(H\)를 번갈아 고정하고 비음수 최소제곱(NNLS) 서브문제를 푸는 블록 좌표 하강법 형태를 취한다. 대표적인 두 방법은 Lee와 Seung이 제안한 곱셈 업데이트(MU)와 Cichocki 등이 제안한 계층적 교대 최소제곱(HALS)이다. MU는 \

원본 논문

고화질 논문을 불러오는 중입니다...

댓글 및 학술 토론

Loading comments...

의견 남기기