활성 쌍대 비교를 통한 효율적 순위 학습

활성 쌍대 비교를 통한 효율적 순위 학습
안내: 본 포스트의 한글 요약 및 분석 리포트는 AI 기술을 통해 자동 생성되었습니다. 정보의 정확성을 위해 하단의 [원본 논문 뷰어] 또는 ArXiv 원문을 반드시 참조하시기 바랍니다.

초록

본 논문은 객체들을 d 차원 유클리드 공간에 임베딩하고, 기준점으로부터의 거리 순서가 순위를 결정한다는 가정 하에, 순위를 복원하는 데 필요한 쌍대 비교 횟수를 분석한다. 평균적인 경우, 적응적으로 선택한 쿼리만 약 d·log n 개 정도면 충분함을 보이며, 무작위로 쿼리를 선택하면 거의 모든 n·(n‑1)/2개의 비교가 필요함을 증명한다. 또한 오류가 섞인 경우에도 강인한 알고리즘을 제시한다.

상세 분석

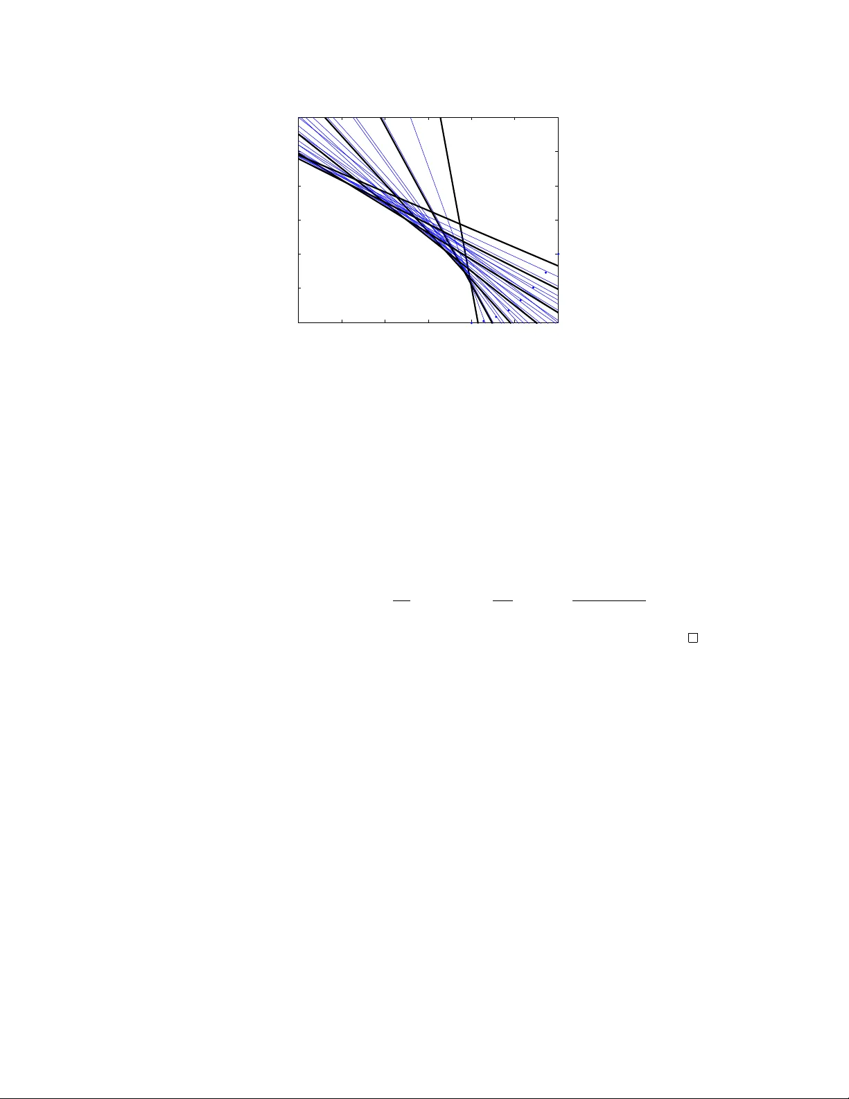
이 연구는 기존 정렬 알고리즘이 요구하는 Θ(n log n)개의 비교와 달리, 객체들이 d 차원 유클리드 공간에 내재된 구조적 제약을 가질 때 순위 복원에 필요한 정보량이 급격히 감소한다는 점을 이론적으로 입증한다. 핵심 가정은 두 가지다. 첫째(A1), 모든 객체 θ₁,…,θₙ이 알려진 위치를 갖는 Rᵈ에 배치되고, 어떤 기준점 rσ∈Rᵈ가 존재해 거리 ‖θᵢ−rσ‖가 순위 σ와 일치한다는 것이다. 둘째(A2), 모든 쌍대 비교는 실제 순위와 일치한다는 일관성이다. 이때 가능한 전체 순위 집합 Σₙ,₍d₎는 각 쌍 (i,j)에 대응되는 중점 초평면이 rσ를 어느 반쪽에 놓이는가에 따라 정의되는 하이퍼플레인 배열에 의해 Rᵈ를 분할한 셀(cell)과 일대일 대응한다. 하이퍼플레인 배열의 셀 수 Q(n,d)는 재귀식 Q(n,d)=Q(n‑1,d)+(n‑1)Q(n‑1,d‑1) 로 정의되며, 대수적으로 Θ(n^{2d})에 비례한다. 따라서 순위를 지정하는 데 필요한 비트 수는 log₂|Σₙ,₍d₎|≈2d·log₂n 정도이며, 이는 Θ(d·log n)개의 쿼리와 동등하다.

알고리즘 1(순차적 쿼리 선택)은 객체들을 무작위 순서로 추가하면서, 현재까지 얻은 비교 결과와 임베딩 정보를 이용해 “모호(ambiguous)”한 쿼리만 실제로 레이블을 요청한다. 모호성은 기존 쿼리들로는 rσ가 어느 셀에 속하는지 결정되지 않을 때 발생한다. 기하학적으로 보면, 새로운 쿼리의 초평면이 현재 가능한 셀을 여러 개로 나누는 경우에만 정보가 추가되는 것이다. 논문은 이러한 모호한 쿼리의 기대 개수가 O(d·log n)임을 증명하고, 전체 알고리즘의 시간 복잡도는 O(n·poly(d)·poly(log n))에 불과하다고 제시한다. 반면, 사전 정의된 비적응적 쿼리 집합이나 무작위로 선택된 m개의 쿼리만으로는 셀을 충분히 세분화하지 못해, 거의 모든 n·(n‑1)/2개의 비교를 수행해야만 순위를 확정할 수 있음을 정리 2에서 보인다.

오류가 존재하는 현실적 상황을 위해, 논문은 “강인(active) 알고리즘”을 제안한다. 여기서는 각 쿼리의 응답이 일정 확률 p<½의 오류를 가질 수 있다고 가정하고, 다수결 혹은 베이지안 업데이트를 통해 신뢰도를 누적한다. 결과적으로 O(d·log² n)개의 비교만으로도 ‘아마도 정확한(Probably Approximately Correct)’ 순위를 복원할 수 있음을 증명한다. 실험에서는 합성 데이터와 실제 오디오 데이터(2~3 차원 임베딩 가정)로 이론적 경계가 실용적으로도 유효함을 확인한다.

이 논문은 순위 학습 문제를 반평면 학습(half‑space learning)과 연결시키면서, 기존의 최악‑사례(extended teaching dimension) 분석이 비현실적임을 지적하고, 평균‑사례 분석을 통해 실질적인 쿼리 절감 효과를 정량화한다는 점에서 학문적·실용적 기여가 크다. 특히, 인간 피드백을 활용하는 설문·심리·마케팅 분야에서 적은 비용으로 정확한 선호 순위를 추정할 수 있는 이론적 토대를 제공한다.


댓글 및 학술 토론

Loading comments...

의견 남기기