비메모리리스 아날로그 네트워크 코딩을 위한 LDPC 기반 MMSE 복원

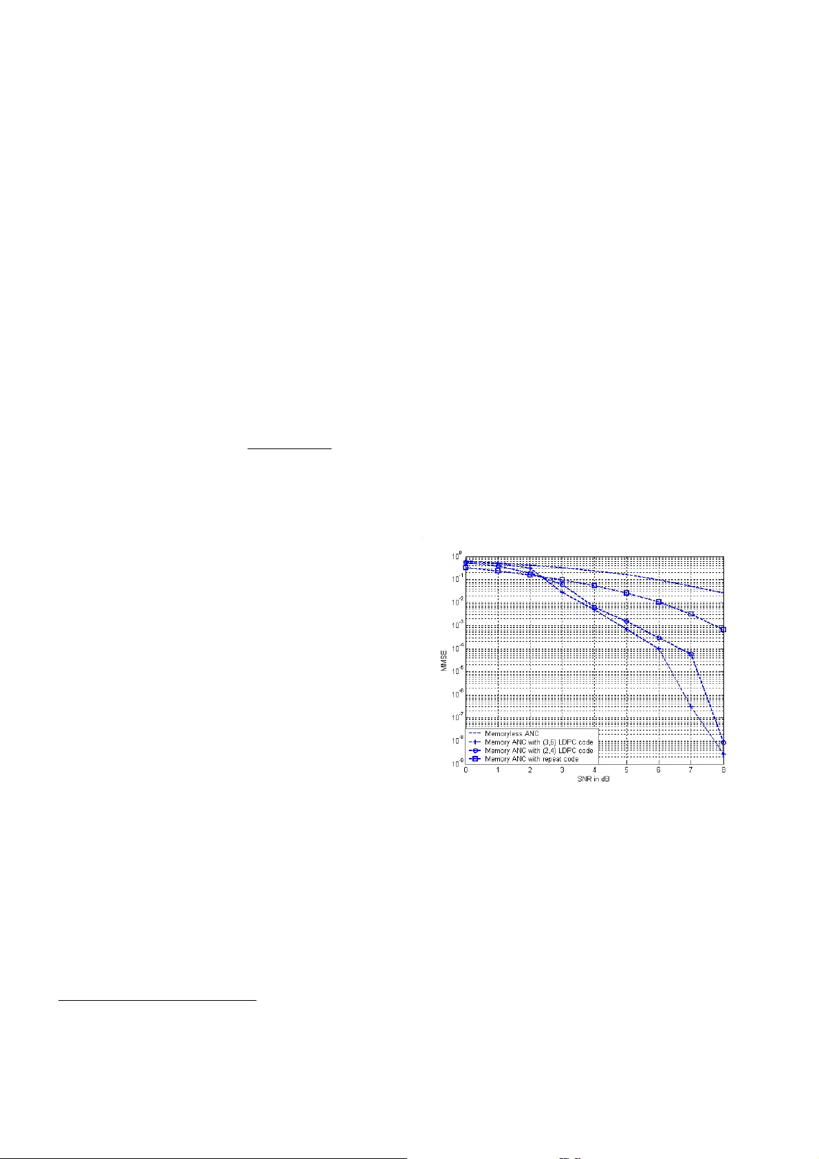
본 논문은 두 방향 릴레이 채널에서 기존의 기호별(메모리리스) 아날로그 네트워크 코딩(ANC) 방식이 갖는 한계를 극복하고자, 릴레이에서 채널 코딩된 패킷 전체를 이용해 소프트 입력·소프트 출력 디코더를 설계한다. LDPC 코드를 가상 4진 코드로 변환해 믿음 전파(BP) 알고리즘으로 두 송신 노드의 심볼 결합 확률을 정제하고, 이를 기반으로 최소 평균 제곱오차(MMSE) 추정값을 전송한다. 분석을 통해 SNR 향상이 코드율 R에 대해 최소 1…

저자: Shengli Zhang, Soung-Chang Liew, Qingfeng Zhou

비메모리리스 아날로그 네트워크 코딩을 위한 LDPC 기반 MMSE 복원
본 논문은 두 방향 릴레이 채널(TWRC)에서 물리층 네트워크 코딩(PNC)의 한 형태인 아날로그 네트워크 코딩(ANC)의 성능 한계를 분석하고, 이를 극복하기 위한 새로운 비메모리리스(패킷‑단위) 처리 방식을 제안한다. 기존 ANC는 수신된 복합 신호 y₃를 기호별로 바로 증폭·전송하는 메모리리스 방식을 사용한다. 이러한 방식은 채널 코딩이 적용된 경우 심볼 간 상관관계를 활용하지 못해, 다중 릴레이 전송 시 잡음이 누적되는 단점을 가진다. 저자들은 릴레이(N3)가 두 송신 노드(N1, N2)로부터 동일한 LDPC 코드를 사용해 전송된 패킷을 수신했을 때, 수신 신호 \

원본 논문

고화질 논문을 불러오는 중입니다...

댓글 및 학술 토론

Loading comments...

의견 남기기